【導讀】環路控制是開關電源設計的一個重要部分。文章綜述了目前可供選擇的一些工具,讓您在開始生產開關電源之前能夠計算、模擬和測量您的原型,從而確保生產工作安全順利。本文將主要討論獲取功率級動態響應和選擇交越頻率和相位裕度。
獲取功率級動態響應
如文章《開關電源設計原型的分析模擬和實驗之一》所述,對指定開關轉換器進行補償研究的關鍵是功率級波特圖。有幾種方式可以獲得波特圖,其中第一種方式是采用SPICE模擬中的一個平均模型。
平均模型有許多種版本,但最常用的為Vatché Vorpérian博士于1986年提出并于1990年發表的3端PWM開關。原著介紹了電壓模式控制,但后來的版本也介紹了電流模式控制,且只涵蓋CCM。我在中推導出了這些模型在VM和CM運行條件下的自動切換版本。在電流模式下運行的典型降壓轉換器可按照圖 7中所示進行建模。PWM開關采用所謂的共模無源配置進行連接,其中端子p已接地。XPWM模塊用于為脈寬調制器建模,脈寬調制器負責將源V2設置的誤差電壓轉換為占空比。這種自然采樣調制模塊的增益就是偏置比較器的鋸齒峰值Vp的倒數:

我們假設鋸齒峰值振幅為2 V,那么衰減為0.5,對應增益為-6 dB。

圖7:PWM開關非常適合平均模擬型開關轉換器,如本例中的降壓轉換器
開始模擬后,您可以顯示工作點,并驗證其是否正確。這是檢查轉換器工作是否正常以及提供的結果是否可信的重要步驟。這里,模型向5 Ω負載提供5 V電源,而這也是我們所期望的。我們可以將結果繪制成下圖:

圖8:二階響應在1 kHz處達到峰值
幅度響應峰值表明品質因數Q比較高。該變量代表了電路損耗,并取決于整體效率。如果您構建降壓轉換器,并繪制其響應,其衰減可能會比圖8中的更大。這是因為MOSFET RDS(on)、電容和電感上的各種歐姆損耗以及續流二極管恢復損耗都會造成電路損耗,并影響Q。
如果現在將負載增加至100Ω,模型會自動轉換至DCM,并提供一個在占空比設置為31%時提供相同5V輸出條件下獲得的新圖。更新后的響應如圖9中所示,可以確認峰值增益消失。不像狀態空間平均法(SSA)等其他方法,在DCM下運行的降壓轉換器仍為二階系統,但易受低品質因數Q的影響。當看到一階模型中的相位會在高頻條件下降至零點,并繼續下降直至達到-180°時,這一點會非常明顯。因此,響應由低頻極點和高頻極點組成,同時輸出電容與其等效串聯電阻(ESR)在傳遞函數中為零。

圖9:在DCM下運行時,VM降壓轉換器仍為二階系統
SPICE模擬提供了一種可行方案,讓您可以繪制您想要穩定的轉換器的控制到輸出傳遞函數。然而,如果如實地對寄生元件(例如電感和電容ESR)的影響進行建模,則無法得知這些雜散元件會影響傳遞函數中的哪些項。理解給定元件在動態響應中的作用極其重要,因為您應通過適當的補償策略來消除其不利影響。除了需要大量計算時間的蒙特卡洛分析法或靈敏度分析法,最佳方法就是利用小信號模型確定傳遞函數。此類模型如圖10中所示。這次我們選擇使用在電流模式控制(CM)下運行的降壓轉換器。我們可以使用非常適用于此類分析的CM PWM開關進行該研究。該模型預測會由于電流環路增益不穩定而出現次諧波振蕩。通過增加一些斜率補償,可以有效地降低電流環路增益,使轉換器實現穩定。

圖10:小信號模型中的CM降壓轉換器為三階模型
通過計算具有獨立狀態變量的儲能元件數量,我們就可以得出該轉換器的階數:即三階電路,而我們想要控制到輸出傳遞函數,其中Vc為激勵電壓,Vout為響應電壓。有多種方法可以確定Vc與Vout之間關系的表達式,而我認為,沒有一種方法能夠超越電路快速分析技術(FACT)。相較于經典的節點/網格分析法,它們不僅是最快速的方法,而且還能產生所謂的低熵效果。分析完成后,分子和分母就自然而然地以正規化形式出現。由此得到的結果有助于我們對傳遞函數有一個直觀的了解:極點和零點在什么位置,及哪些參數對它們有影響。此外,通過了解影響零點或極點定義的參數,您可以有效地應對生產過程中的自然差異。Raymond Ridley博士在他發起的論文中推導出了CM降壓轉換器(包含位于Fsw/2處的次諧波極點)的控制到輸出傳遞函數。具體如下所示:

其中:

在這些表達式中,mc項與特意注入調制器以降低電流環路增益的外部斜率相關。Mc定義如下:

Se表示外部斜率,以[V]/[s]為單位,而Sn表示通過感應電阻Ri調整的電感導通時間斜率,也以[V]/[s]為單位。對于降壓轉換器,電感上升斜率可通過以下公式確定:

當mc=50%時,結果表明CM降壓轉換器的音頻敏感度理論上為零。
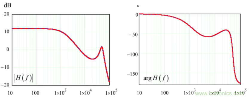
通過,可以繪制出功率級動態響應圖,并確定在何處選擇交越頻率。圖11表示在達到開關頻率的一半時可以清楚地看到峰值的響應。

圖11:增益在直流條件下趨于平坦,然后以-1斜率下降,直至在Fsw/2處達到峰值。
我們已經了解了,平均模擬和根據方程式得出的結果如何實現我們需要的功率級響應。第3種選擇包括使用能夠通過開關電路中傳遞小信號響應的模擬器。此類程序稱為分段線性(PWL)模擬器。SPICE本質上是一個線性求解器,任何非線性特性都必須在合適的操作點附近進行線性化。我們可以通過減少模擬步長直至實現趨同的方式來找到這個特定點。在模擬過程中,必須通過逐點線性逼近方法取代二極管等非線性元件。該過程不僅會使計算機負載過重,而且還會在時間步長縮減算法達到下限時出現趨同誤差。SIMPLIS®等模擬器采用PWL引擎,可以從開關電路中提取交流響應。圖 12顯示了二極管的典型建模方式。

圖12:SIMPLIS采用由線性部分描述的理想元件
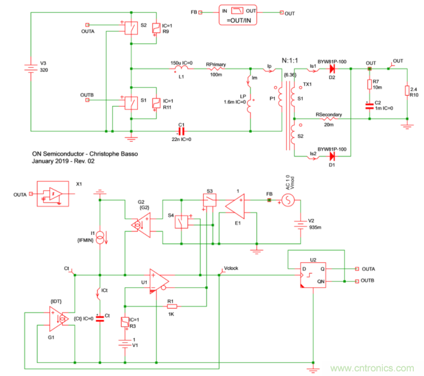
您可以看到這些線性部分是如何描述正向壓降增加與二極管電流之間的關系。它們可以有效地替代描述二極管電流的Shockley指數方程。無論二極管的操作點在何處,其特性都是線性的,只有斜率發生變化。這樣就無需使用額外的線性化算法,因為電路一直都是線性電路。因此,交流調制可以作為開關電路的激勵,從而獲得小信號響應。典型的LLC轉換器如圖13中所示。在NCP13992提出的新型電流模式控制方法中,高壓側和低壓側MOSFET以50%的精確占空比運行。高壓側晶體管導通并保持此狀態,直至電感峰值電流達到反饋環路要求的目標值。當高壓側晶體管關斷時,低壓側晶體管在精確復制之前ton時間的關斷期間激活,以確保精準的50%占空比。所提出的電路是該復雜控制電路部分的簡化版,但它允許使用SIMPLIS演示版本Elements模擬整個電路。

圖13:SIMPLIS采用由線性部分描述的理想元件
幾十秒鐘后,模擬器不僅會提供每個周期的波形(您可以檢查rms、平均值或峰值等),而且還會提供控制到輸出傳遞函數。這兩個結果如圖14和圖15中所示:

圖14 :逐周期模擬確認正確的操作點,即24 V輸出

圖15:周期操作點(POP)計算完成后立即獲得控制到輸出傳遞函數
這很有趣,因為您無需使用平均模型,而且您可以探索二階或三階效應(如RDS(on)的變化),并立即看到其對傳遞函數的影響。LLC轉換器存在基于方程的模型,但鑒于其復雜性和涉及的大量數學計算,我認為此類模型使用起來比較困難。在短時間內獲得混有瞬態和小信號結果的模擬數據的確是一種有趣的方法。
選擇交越頻率和相位裕度
現在,我們已經有了功率級傳遞函數,接下來是選擇和應用補償策略,這一步至關重要。第一個問題是,如何選擇交越頻率fc和相位裕度?文獻中提供了大量建議,范圍為開關頻率Fsw的1/5到1/10。如果轉換器的交越上限明顯為Fsw/2,那么采用的拓撲結構還會提出其他限制要求。下面我們開始吧:
降壓推導出的拓撲結構:LC網絡會施加一個諧振頻率f0。如果觀察電壓模式控制下的功率級控制到輸出傳遞函數,就會發現增益在f0時達到峰值。所以,在該頻率下,環路必須具有一些增益,這樣才能對振蕩進行校正。因此,最好選擇至少3-5倍于諧振頻率的fc。在電流模式控制下,情況比較簡單,因為低頻部分的響應為一階響應。然而,由于存在無衰減次諧波極點,增益可能在Fsw/2處達到峰值。然后,需要進行斜率補償來抑制這些極點,使轉換器增益穩定下來。

圖16:您不能隨意選擇交越頻率,因為它取決于所采用的拓撲結構
降壓/升壓推導出的拓撲結構:在這些結構中,能量分兩步進行傳輸。首先,在導通期間將能量存儲在電感中,然后在關斷期間將其釋放給負載。在突然需要輸出功率的情況下,轉換器無法立即響應,因為電感需要更多的周期才能提高能量存儲。這種固有的響應延遲在控制到輸出傳遞函數中具體表現為右半平面零點(RHPZ)。RHPZ可增加幅值(像其他零點一樣),但會造成相位滯后。它與相位超前的左半平面零點相反。當傳遞函數中具有RHPZ時,隨著您接近該零點位置時,功率級相位會進一步降低。因此,建議在RHPZ出現之前進行交越。比較好的做法就是,將fc上限選擇為RHPZ最低位置的20-30%(通過最大電流和最小輸入電壓獲得)。這適用于VM和CM控制方法,因為這兩種方法中的RHPZ位置相同。在VM中,您必須遵守降壓規則,即選擇的fc大于f0 3-5倍,但這次f0的移動與占空比相關,這使得最終選擇變得復雜。
升壓拓撲結構:其特性與上述降壓/升壓推導出的拓撲結構幾乎相同。電壓模式控制中存在RHPZ和諧振。電流模式控制的靈活性要比VM稍大一些,因為您無需在f0處達到峰值,但無論如何,RHPZ都會限制fc的上限。如果您想要利用升壓或降壓/升壓轉換器實現帶寬,最好降低電感值,這樣轉換器就能夠更迅速地響應突發的輸出功率需求。圖16中概述了上述所有建議。請注意,在拓撲結構允許時將交越頻率推得過高并不是一個明智的決定。這是因為使用寬帶寬就如同打開一個漏斗:轉換器的確會變快,但對外部擾動和噪音也變得更加敏感:調整fc以符合特定的瞬態規格,且不要讓其超過這個值。
開環相位裕度選擇取決于所需的瞬態響應類型。如果您想要快速響應,并接受一點過沖,則相位裕度在50°左右就夠了。如果您想要更加保守一點,并在不出現過沖的情況下接受更慢的響應(或恢復),那么70-80°會是一個比較好的相位裕度。您可以通過圖17中所示的曲線圖,找出開環相位裕度jm和閉環品質因數Qc之間的關聯。這是一種理論方法,描述了具有原點極點和高頻極點(無零點)的二階系統在閉環條件下運行時有何表現。
有一點我們必須清楚,相位裕度選擇不僅取決于應用,而且還取決于可接受的限值。例如,如果轉換器將經歷較大的溫度變化(例如環境溫度范圍為-40至80℃),則最好選擇高裕度(80-90°或更高),并觀察在最壞的情況下會降至多低。過低的相位裕度和響應可能會導致出現令人無法接受的跳閘保護。就我看來,40°就一個適當的絕對最低值。

圖17 :開環相位裕度決定了環路閉合后轉換器將有何響應
如果電源在環境溫度從不超過35℃和低于0℃(大多數消費產品)的室溫條件下運行,則不那么激進的目標可能更容易實現。設計確定后,您必須進行大量實驗(例如:蒙特卡洛分析或最壞情況分析),并確保在窘境模擬中相位裕度絕不會降至40°以下。正如文獻中強調的那樣,相位裕度大不僅會延長恢復時間,還會降低低頻增益,從而阻礙轉換器抑制低頻擾動(交流/直流開關的120 Hz紋波)。下圖顯示了恒定交越頻率下兩種不同相位裕度的典型瞬態響應(圖18)。

圖18:相位裕度過大會影響恢復時間(fc為常數)
增益裕度取決于您系統在運行期間經歷的開環增益變化。根據誤差放大器開環增益變化(制造工藝、溫度等),如果存在輸入前饋或不存在輸入前饋等,環路增益幅度會上下移動,從而影響交越頻率。通常,15-20 dB的增益裕度被視為保守值,可確保設計堅固耐用。
免責聲明:本文為轉載文章,轉載此文目的在于傳遞更多信息,版權歸原作者所有。本文所用視頻、圖片、文字如涉及作品版權問題,請聯系小編進行處理。
推薦閱讀:




