【導讀】實踐證明,在很多應用中,經過適當濾波的開關轉換器可以代替線性穩壓器從而產生低噪聲電源。哪怕在要求極低噪聲電源的苛刻應用中,上游電源樹的某個地方也有可能存在開關電路。因此,有必要設計經過優化和阻尼處理的多級濾波器,來消除開關電源轉換器的輸出噪聲。此外,了解濾波器設計如何影響開關電源轉換器的補償也很重要。
最近,開關電源幾乎用于所有電子設備中。它們由于尺寸小、成本低和效率高而具有極高的價值。但是,它們最大的缺點就是高開關瞬態導致高輸出噪聲。這個缺點使它們無法用于以線性穩壓器供電為主的高性能模擬電路中。
本文示例電路將采用升壓轉換器,但結果可以直接應用于任意DC-DC轉換器。圖1所示為升壓轉換器在恒定電流模式(CCM)下的基本波形。

圖1. 升壓轉換器的基本電壓和電流波形
輸出濾波器對升壓拓撲或其它任何帶有斷續電流模式的拓撲之所以重要,是因為它在開關B內電流具有快速上升和下降時間。這會導致激勵開關、布局和輸出電容中的寄生電感。其結果是,在實際使用中,輸出波形看上去更像圖2而非圖1,哪怕布局布線良好并且使用陶瓷輸出電容。

圖2. DCM中升壓轉換器的典型測量波形
由于電容電荷的變化而導致的開關紋波(開關頻率)相比輸出開關的無阻尼振鈴而言非常小,下文稱為輸出噪聲。一般而言,此輸出噪聲范圍為10 MHz至100 MHz以上,遠超出大部分陶瓷輸出電容的自諧振頻率。因此,添加額外的電容對噪聲衰減的作用不大。
還有很多各類濾波器適合對此輸出濾波。本文將解釋每一種濾波器,并給出設計的每一個步驟。文中的公式并不嚴謹,且做了一些合理的假設,以便一定程度上簡化這些公式。仍然需要進行一些迭代,因為每一個元件都會影響其它元件的數值。ADIsimPower設計工具利用元件值(比如成本或尺寸)的線性化公式在實際選擇元件前進行優化,然后從成千上萬器件的數據庫中選出實際元件后對其輸出進行優化,從而避免了這個問題。但在剛開始進行設計時,這種程度的復雜性是沒有必要的。通過提供的計算公式,使用SIMPLIS仿真器——比如免費的ADIsimPE™——或者在實驗室工作臺上花費一些時間,就能以最少的精力得到滿意的設計。
開始設計濾波器前,考慮一下單級濾波器RC或LC濾波器可以做什么。通常采用二級濾波器可以合理地將紋波抑制到幾百μV p-p范圍內,并將開關噪聲抑制在1 mV p-p 以下。降壓轉換器噪聲較低,因為電源電感提供了很好的濾波能力。這些限制是因為,一旦紋波降低至μV級別,元件寄生和濾波器級之間的噪聲耦合便開始成為限制因素。如果使用噪聲更低的電源,則需添加三級濾波器。然而,開關電源的基準電壓源一般不是噪聲最低的元件,并且常常受到抖動噪聲的影響。這些都導致了低頻噪聲(1 Hz至100 kHz),通常不易濾除。因此,對于極低噪聲電源而言,使用單個二級濾波器然后在輸出端添加一個LDO可能更合適。
在更詳細地介紹各類濾波器的設計步驟前,部分在設計步驟中使用的各類濾波器的數值定義如下:
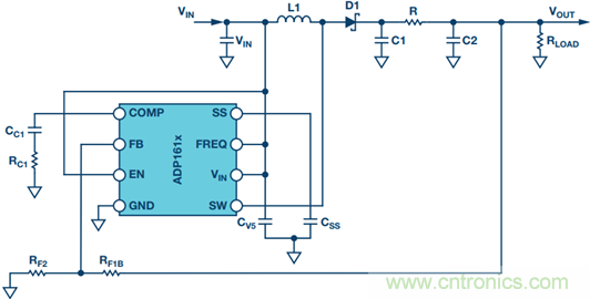
最簡單的濾波器類型為RC濾波器,如圖3中基于低電流ADP161x升壓設計的輸出端所連接的那樣。該濾波器具有低成本優勢,無需阻尼。但是,由于功耗的原因,它僅對極低輸出電流轉換器有用。本文假定陶瓷電容具有較低ESR。

圖3. 在輸出端添加RC濾波器的ADP161x低輸出電流升壓轉換器設計
RC二級輸出濾波器設計步驟
第1步:
根據以下條件選擇:假設
的輸出紋波近似值可以忽略其余濾波器;5 mV p-p至20 mV p-p就是一個很好的選擇。
隨后可通過公式1計算得出。

第2步:R可以根據功耗選擇。R必須遠大于
電容和這個濾波器才能起作用。這將輸出電流的范圍限制在50 mA以下。
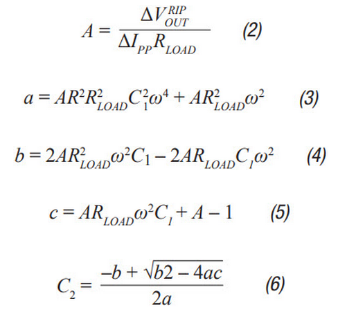
第3步:
隨后可通過公式2至公式6計算得出。A、a、b和c是簡化計算的中間值,沒有實際意義。這些公式假定
且每個電容的ESR較小。這些都是很好的假設,引入的誤差很小。
應等于或大于
。可調節第1步中的紋波,使其成為可能。

對于較高電流電源而言,將pi濾波器中的電阻以如圖4中的電感代替是有好處的。這種配置提供了極佳的紋波和開關噪聲抑制能力,并具有較低的功耗。問題在于,我們現在引入了一個額外的儲能電路,它可能產生諧振。這就有可能導致振蕩,使電源不穩定。因此,設計該濾波器的第一步是如何選擇阻尼濾波器。圖4顯示了三種可行的阻尼技術。添加
具有額外成本和尺寸增加較少的優勢。阻尼電阻的損耗通常很少(甚至沒有),哪怕大電源情況下都很小。缺點是,它會降低電感的并聯阻抗,從而大幅降低濾波器的有效性。第二種技術的優勢是濾波器性能最大化。如果需要采用全陶瓷設計,則
可以是與陶瓷電容串聯的分立式電阻。否則需使用具有高ESR且物理尺寸較大的電容。這個額外的電容
會大幅增加設計的成本和尺寸。阻尼技術3看上去具有極大的優勢,因為阻尼電容
添加至輸出端,它可能對瞬態響應和輸出紋波性能有所助益。然而,這種技術成本最高,因為所需電容數量極大。此外,輸出端相對而言較多的電容會降低濾波器諧振頻率,進而減少轉換器可實現的帶寬——因此不建議使用第3種技術。對于ADIsimPower設計工具來說,我們采用第1種技術,因為它成本較低,且在自動化設計步驟中相對來說較為容易實現。

圖4. 采用輸出濾波器并突出多種不同阻尼技術的ADP1621
需注意的另一個問題是補償。盡管這可能不符合直覺,但把濾波器放在反饋環路內部幾乎一直都是更好的做法。這是因為,將其放在反饋環路內有助于在一定程度上抑制濾波器,消除直流負載偏移和濾波器的串聯電阻,同時能提供更好的瞬態響應、更低的振鈴。圖5顯示了一個升壓轉換器的波特圖,其在輸出端添加了LC濾波器輸出。

圖5. 輸出端帶LC濾波器的升壓轉換器
反饋在濾波器電感之前或之后獲取。人們沒有想到的是,哪怕濾波器不在反饋環路內部,開環波特圖依然存在非常大的變化。由于控制環路無論濾波器是否在反饋環路中都會受影響,因此也應對其進行適當補償。一般而言,這意味著將目標交越頻率向下調整至不超過濾波器諧振頻率
的五分之一到十分之一。

這類濾波器的設計步驟本質上是一個迭代過程,因為每一個元件的選擇都會影響其它元件的選擇。
使用并聯阻尼電阻的LC濾波器設計步驟(圖4中的第1種技術)
第1步:選擇
,使其等于輸出端沒有輸出濾波器時的情況。5 mV至20 mV p-p是一個很好的開端。
隨后可通過公式8計算得出。

第2步:選擇電感
根據經驗,較好的數值范圍為0.5 μF至2.2 μF。應按照高自諧振頻率(SRF)來選擇電感。較大的電感具有較大的SRF,這意味著它們的高頻噪聲濾波效率較差。較小的電感對紋波的影響沒有那么大,需要更多電容。開關頻率越高,電感值越小。比較電感值相同的兩個電感時,SRF較高的器件具有較低的繞組間電容。繞組間電容用作濾波器周圍的短路,作用于高頻噪聲。
第3步:如前所述,添加濾波器會影響轉換器補償,具體表現為降低可實現的交越頻率(Fu)。根據公式7的計算,對于電流模式轉換而言,可實現的最大Fu是開關頻率的1/10以下,或者是濾波器
的1/5以下。幸運的是,大部分模擬負載不需要太高的瞬態響應。公式9計算轉換器輸出所需的輸出電容近似值
以提供指定的瞬態電流階躍。

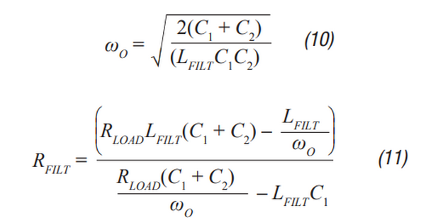
第5步:利用公式10和公式11計算阻尼濾波器電阻近似值。這些公式并非絕對精確,但它們是不使用泛代數的最接近的閉式解決方案。ADIsimPower設計工具通過計算轉換器在濾波器和電感短路時的開環傳遞函數(OLTF)從而計算
值為猜測值,直到濾波器僅為轉換器OLTF以上10 dB時轉換器OLTF的峰值(電感短路)。這種技術可用于ADIsimPE等仿真器中,或用于使用頻譜分析儀的實驗室中。

第6步:
現在可以通過公式12至公式15計算得出。a、b、c和d用于簡化公式16。

第7步:應重復第3步至第5步,直至計算出滿足所需紋波和瞬態規格的優秀阻尼濾波器設計。應注意,這些公式忽略了濾波器電感的直流串聯電阻
對于較低的電源電流而言,該電阻可能非常大。它通過幫助抑制濾波器而改善了濾波器性能,增加了所需
的同時也增加了濾波器阻抗。這兩個效應都會極大地改善濾波器性能。因此,以
中的少量功耗換來低噪聲性能是很劃算的,這樣可以改善噪聲性能。
中的內核損耗還有助于衰減部分高頻噪聲。因此,高電流供電的鐵磁芯是一個很好的選擇。它們在電流能力相同的情況下尺寸更小、成本更低。當然,ADIsimPower具有濾波器電感電阻值以及兩個電容的ESR值,可實現最高精度。
第8步:選擇實際的元件來匹配計算值時,注意需對任意陶瓷電容進行降低額定值處理,以便將直流偏置納入考量中!
如前文所述,圖4給出了抑制濾波器的兩種可行技術。如果未選擇并聯電阻,那么可以選擇
來抑制濾波器。這會增加一些成本,但相比其它任何技術它能提供最佳的濾波器性能。
使用RC阻尼網絡的LC濾波器設計步驟(圖4中的第2種技術)
第1步:正如之前的拓撲,選擇
,使其等于沒有輸出濾波器時的情況。10 mV p-p至100 mV p-p是個不錯的開始,具體取決于最終目標輸出紋波。
隨后可通過公式8計算得出。
在這個拓撲中可以采用比之前拓撲更小的數值,因為濾波器效率更高。
第2步:在之前的拓撲中,選擇數值為0.5 μH至2.2 μH的電感。對于500 kHz至1200 kHz的轉換器而言,1 μH是一個很好的數值。
第3步:與前文相同,
可以從公式16中選擇,但
應設為較大的值,比如1 MΩ,因為不會安裝該元件。無論
是否有額外 的電容,它的值不變的原因是,為了提供良好的阻尼,
會足夠大,以至于
不會過多地降低紋波。將
設為
、
計算得出的最小值。此時回到第1步并調節
上的紋波會很有用,這樣計算得到的
近似等于
。
第4步:
的值應當等于
。理論上,使用更大的電容可以實現濾波器的更多抑制,但它不必要地增加了成本和尺寸,并且會降低轉換器帶寬。
第5步:
可以通過公式17計算得出。
通過公式7計算得出,忽略
。這是一個很好的近似,因為
通常足夠大,從而
幾乎不影響濾波器諧振位置。

第6步:現在,
和
都已算出,可以使用帶有串聯電阻的陶瓷電容,或者選擇帶有大ESR的鉭電容或類似電容來滿足計算得出的規格。
第7步:選擇實際的元件來匹配計算值時,注意需對任意陶瓷電容進行降低額定值處理,以便將直流偏置納入考量中!
另一種濾波器技術是以鐵氧體磁珠代替之前濾波器中的L。但是,這種方案有很多缺點,它限制了開關噪聲濾波的有效性,而對開關紋波幾乎沒有好處。首先是飽和。鐵氧體磁珠將在極低的偏置電流電平處飽和,這意味著鐵氧體會比所有數據手冊中零偏置曲線所表示的都要低得多。它可能依然需要抑制,因為它仍然是一個電感,因此會跟隨輸出電感諧振。但現在電感是一個變量,而且以大部分數據手冊所能提供的極少量數據進行極差的特性化。由于這個原因,不建議使用鐵氧體磁珠作為二級濾波器,但可以用在下游以進一步降低極高的頻率噪聲。
結論
本文提供了多種開關電源輸出濾波器技術。本文為每一個拓撲提供了逐步驟的設計過程,縮短猜測時間并減少濾波器設計中的檢查。文中的公式都在一定程度上經過了簡化,工程師可以通過了解二級輸出濾波器可以達到的程度而實現快速設計。
本文轉載自亞德諾半導體。
推薦閱讀:



