中心議題:
- IGBT的工作原理及損壞機制
- IGBT的保護措施
- IGBT柵極的保護
- IGBT集電極與發射極間的過壓保護
- IGBT集電極電流過流保護
- IGBT的過熱保護
絕緣柵雙極型晶體管IGBT是由MOSFET和雙極型晶體管復合而成的一種器件,其輸入極為MOSFET,輸出極為PNP晶體管,因此,可以把其看作是MOS輸入的達林頓管。它融和了這兩種器件的優點,既具有MOSFET器件驅動簡單和快速的優點,又具有雙極型器件容量大的優點,因而,在現代電力電子技術中得到了越來越廣泛的應用。
在中大功率的開關電源裝置中,IGBT由于其控制驅動電路簡單、工作頻率較高、容量較大的特點,已逐步取代晶閘管或GTO。但是在開關電源裝置中,由于它工作在高頻與高電壓、大電流的條件下,使得它容易損壞,另外,電源作為系統的前級,由于受電網波動、雷擊等原因的影響使得它所承受的應力更大,故IGBT的可靠性直接關系到電源的可靠性。因而,在選擇IGBT時除了要作降額考慮外,對IGBT的保護設計也是電源設計時需要重點考慮的一個環節。
1 IGBT的工作原理
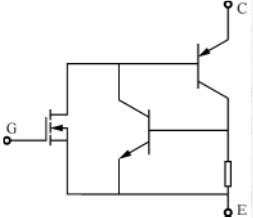
IGBT的等效電路如圖1所示。由圖1可知,若在IGBT的柵極和發射極之間加上驅動正電壓,則MOSFET導通,這樣PNP晶體管的集電極與基極之間成低阻狀態而使得晶體管導通;若IGBT的柵極和發射極之間電壓為0V,則MOSFET截止,切斷PNP晶體管基極電流的供給,使得晶體管截止。

圖1 IGBT的等效電路
由此可知,IGBT的安全可靠與否主要由以下因素決定:
(1)IGBT柵極與發射極之間的電壓;
(2)IGBT集電極與發射極之間的電壓;
(3)流過IGBT集電極-發射極的電流;
(4)IGBT的結溫
如果IGBT柵極與發射極之間的電壓,即驅動電壓過低,則IGBT不能穩定正常地工作,如果過高超過柵極-發射極之間的耐壓則IGBT可能永久性損壞;同樣,如果加在IGBT集電極與發射極允許的電壓超過集電極-發射極之間的耐壓,流過IGBT集電極-發射極的電流超過集電極-發射極允許的最大電流,IGBT的結溫超過其結溫的允許值,IGBT都可能會永久性損壞。
2 保護措施
在進行電路設計時,應針對影響IGBT可靠性的因素,有的放矢地采取相應的保護措施。
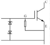
2.1 IGBT柵極的保護
IGBT的柵極-發射極驅動電壓VGE的保證值為±20V,如果在它的柵極與發射極之間加上超出保證值的電壓,則可能會損壞IGBT,因此,在IGBT的驅動電路中應當設置柵壓限幅電路。另外,若IGBT的柵極與發射極間開路,而在其集電極與發射極之間加上電壓,則隨著集電極電位的變化,由于柵極與集電極和發射極之間寄生電容的存在,使得柵極電位升高,集電極-發射極有電流流過。這時若集電極和發射極間處于高壓狀態時,可能會使IGBT發熱甚至損壞。如果設備在運輸或振動過程中使得柵極回路斷開,在不被察覺的情況下給主電路加上電壓,則IGBT就可能會損壞。為防止此類情況發生,應在IGBT的柵極與發射極間并接一只幾十kΩ的電阻,此電阻應盡量靠近柵極與發射極。如圖2所示。

圖2 柵極保護電路
[page]
由于IGBT是功率MOSFET和PNP雙極晶體管的復合體,特別是其柵極為MOS結構,因此除了上述應有的保護之外,就像其他MOS結構器件一樣,IGBT對于靜電壓也是十分敏感的,故而對IGBT進行裝配焊接作業時也必須注意以下事項:
(1)在需要用手接觸IGBT前,應先將人體上的靜電放電后再進行操作,并盡量不要接觸模塊的驅動端子部分,必須接觸時要保證此時人體上所帶的靜電已全部放掉;
(2)在焊接作業時,為了防止靜電可能損壞IGBT,焊機一定要可靠地接地。
2.2 集電極與發射極間的過壓保護
過電壓的產生主要有兩種情況,一種是施加到IGBT集電極-發射極間的直流電壓過高,另一種為集電極-發射極上的浪涌電壓過高。
2.2.1 直流過電壓
直流過壓產生的原因是由于輸入交流電源或IGBT的前一級輸入發生異常所致。解決的辦法是在選取IGBT時,進行降額設計;另外,可在檢測出這一過壓時分斷IGBT的輸入,保證IGBT的安全。
2.2.2 浪涌電壓的保護
因為電路中分布電感的存在,加之IGBT的開關速度較高,當IGBT關斷時及與之并接的反向恢復二極管逆向恢復時,就會產生很大的浪涌電壓Ldi/dt,威脅IGBT的安全。
通常IGBT的浪涌電壓波形如圖3所示。

圖中:VCE為IGBT集電極-發射極間的電壓波形;ic為IGBT的集電極電流;Ud為輸入IGBT的直流電壓;VCESP=Ud+Ldic/dt,為浪涌電壓峰值。
如果VCESP超出IGBT的集電極-發射極間耐壓值VCES,就可能損壞IGBT。解決的辦法主要有:
(1)在選取IGBT時考慮設計裕量;
(2)在電路設計時調整IGBT驅動電路的Rg,使di/dt盡可能小;
(3)盡量將電解電容靠近IGBT安裝,以減小分布電感;
(4)根據情況加裝緩沖保護電路,旁路高頻浪涌電壓
由于緩沖保護電路對IGBT的安全工作起著很重要的作用,在此將緩沖保護電路的類型和特點作一介紹。


圖4 緩沖保護電路
(1)C緩沖電路如圖4(a)所示,采用薄膜電容,靠近IGBT安裝,其特點是電路簡單,其缺點是由分布電感及緩沖電容構成LC諧振電路,易產生電壓振蕩,而且IGBT開通時集電極電流較大。
(2)RC緩沖電路如圖4(b)所示,其特點是適合于斬波電路,但在使用大容量IGBT時,必須使緩沖電阻值增大,否則,開通時集電極電流過大,使IGBT功能受到一定限制。
(3)RCD緩沖電路如圖4(c)所示,與RC緩沖電路相比其特點是,增加了緩沖二極管從而使緩沖電阻增大,避開了開通時IGBT功能受阻的問題。該緩沖電路中緩沖電阻產生的損耗為:
,式中:L為主電路中的分布電感;I為IGBT關斷時的集電極電流;f為IGBT的開關頻率;C為緩沖電容;Ud為直流電壓值。
(4)放電阻止型緩沖電路如圖4(d)所示,與RCD緩沖電路相比其特點是,產生的損耗小,適合于高頻開關。在該緩沖電路中緩沖電阻上產生的損耗為:
根據實際情況選取適當的緩沖保護電路,抑制關斷浪涌電壓。在進行裝配時,要盡量降低主電路和緩沖電路的分布電感,接線越短越粗越好。
[page]
2.3 集電極電流過流保護
對IGBT的過流保護,主要有3種方法。


圖5 集電極過流保護電路
2.3.1 用電阻或電流互感器檢測過流進行保護
如圖5(a)及圖5(b)所示,可以用電阻或電流互感器與IGBT串聯,檢測流過IGBT集電極的電流。當有過流情況發生時,控制執行機構斷開IGBT的輸入,達到保護IGBT的目的。
2.3.2 由IGBT的VCE(sat)檢測過流進行保護
如圖5(c)所示,因VCE(sat)=IcRCE(sat),當Ic增大時,VCE(sat)也隨之增大,若柵極電壓為高電平,而VCE為高,則此時就有過流情況發生,此時與門輸出高電平,將過流信號輸出,控制執行機構斷開IGBT的輸入,保護IGBT。
2.3.3 檢測負載電流進行保護
此方法與圖5(a)中的檢測方法基本相同,但圖5(a)屬直接法,此屬間接法,如圖5(d)所示。若負載短路或負載電流加大時,也可能使前級的IGBT的集電極電流增大,導致IGBT損壞。由負載處(或IGBT的后一級電路)檢測到異常后,控制執行機構切斷IGBT的輸入,達到保護的目的。
2.4 過熱保護
一般情況下流過IGBT的電流較大,開關頻率較高,故而器件的損耗也比較大,如果熱量不能及時散掉,使得器件的結溫Tj超過Tjmax,則IGBT可能損壞。
IGBT的功耗包括穩態功耗和動態動耗,其動態功耗又包括開通功耗和關斷功耗。在進行熱設計時,不僅要保證其在正常工作時能夠充分散熱,而且還要保證其在發生短時過載時,IGBT的結溫也不超過Tjmax
當然,受設備的體積和重量等的限制以及性價比的考慮,散熱系統也不可能無限制地擴大。可在靠近IGBT處加裝一溫度繼電器等,檢測IGBT的工作溫度。控制執行機構在發生異常時切斷IGBT的輸入,保護其安全。 除此之外,將IGBT往散熱器上安裝固定時應注意以下事項:
(1)由于熱阻隨IGBT安裝位置的不同而不同,因此,若在散熱器上僅安裝一個IGBT時,應將其安裝在正中間,以便使得熱阻最小;當要安裝幾個IGBT時,應根據每個IGBT的發熱情況留出相應的空間;
(2)使用帶紋路的散熱器時,應將IGBT較寬的方向順著散熱器的紋路,以減少散熱器的變形;
(3)散熱器的安裝表面光潔度應≤10μm,如果散熱器的表面不平,將大大增加散熱器與器件的接觸熱阻,甚至在IGBT的管芯和管殼之間的襯底上產生很大的張力,損壞IGBT的絕緣層
(4)為了減少接觸熱阻,最好在散熱器與IGBT模塊間涂抹導熱硅脂。
3 結語
在應用IGBT時應根據實際情況,采取相應的保護措施。只要在過壓、過流、過熱等幾個方面都采取有效的保護措施后,在實際應用中均能夠取得良好的效果,保證IGBT安全可靠地工作。





