中心論題:
- 輻射機理
- 實例分析
- 結果討論
解決方案:
- 考慮屏蔽體的機械強度、彎曲易加工性、彈性零件的尺寸穩定性以及接觸電阻等因素
- 綜合考慮屏蔽體的外形尺寸、所受磁場方向、漏磁、接地點等問題
引言
在有限的空間和有限的頻率資源條件下,如何避免電磁之間的相互干擾也就是電磁兼容性問題。所謂“電磁兼容性”在國家EMI標準中作了如下定義:“設備(分系統、系統)在共同的電磁環境中能一起執行各自功能的共存狀態。即:該設備不會由于受到同一電磁環境中其他設備的電磁發射導致或遭受不允許的降級”。電磁兼容性就是使處于同一電磁場環境下的各種電子電氣設備或系統能夠正常工作而互不干擾。
輻射機理
電磁場干擾是由于感應源和受感器件周圍的交變電場和磁場同時存在產生的輻射電磁場,其特點是電場分量和磁場分量同時出現且相互垂直。輻射的電磁場之特性是由輻射源的特性來決定的。源的周圍介質以及源與觀察點之間的距離等都能影響電磁場的特性。在源附近的場,其特性主要決定于源的特性:當遠離源的地方,場的性質主要決定于場傳播時所通過的介質。因此,在電磁場輻射源的周圍,可分成近場和遠場兩個范圍,輻射源附近稱近場,距離大于λ/2π的地方稱遠場(λ為波長)。在近場中,噪聲一般是通過電容性耦合或電感性耦合方式傳播到電路中。電場E對磁場H的比值常稱為波阻抗(E/H)。在近場時它決定于源的特性和從源到觀察點的距離,如源為大電流低電壓的情況,則近場主要為磁場,以電感性耦合的噪聲為主;若源為小電流高電壓,則近場主要為電場,以電容性耦合的噪聲為主。當頻率低于1MHz時,電子線路內的噪聲耦合大多是由近場所造成的。因為,根據λ/2π計算的近場范圍很大,在30KHz時,近場范圍可達1.6KM;在遠場時,電磁波的波阻抗Z為電場強度E對磁場強度H之比,即:

其中E表示電場,H表示磁場。
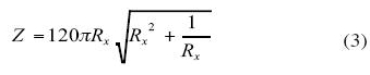
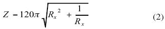
如將發生源與觀察點之間距離定為r;RX=λ/2π,則在近場中,當發生源主要為電場時:
其波阻抗呈高阻抗特性;而當發生源主要為磁場時:

其波阻抗仍呈高阻抗特性(符號含義同上),如圖1所示。

當觀察點距源大于λ/2π的遠場中,介質為自由空間時,波阻抗E/H是一個常數120π,近似等于377Ω,所以在討論遠場時,可以把它看成一個具有阻抗為377Ω的平面波,近場中屬于電容性耦合和電感性耦合噪聲范圍。在遠場中,電場和磁場的方向互相垂直,但相位相同,所以它與近場不同,而向四方輻射能量,它對電子電路的干擾是通過能量的輻射方式進行的。輻射的電磁場在空間的傳播是由于電場和磁場的相互作用。當空間有靜電荷Q時,則產生靜電場,電荷移動時則形成電流,因電磁作用又同時產生電場和磁場。
幅射源引起了周圍的磁場和電場相應地改變,這種變化在空間中的傳播就是電磁波,其傳播速度與光速相等,這方面的論述和研究較少。無線電廣播、通訊設備和其它高頻設備工作時,有很大功率的電磁波輻射,在此環境內的電器設備上會產生正比于電場強度的感應電動勢U:U=heff
其中heff為比例長數或天線的有效高度。
較長的導線,信號輸入線、輸出線、控制線、電源線等在電磁場中都能接收電磁波而感應出噪聲電壓。作為噪聲源,這些導線又能輻射出電磁波造成二次噪聲污染。在大功率廣播設備附近的強電場中,電子設備的外殼或內部的導線、導體都會感應出很強的感應電動勢,導致對電路的干擾。抑制輻射最主要的方法是采用屏蔽,即對兩個空間區域之間加以金屬隔離,電容性耦合可將金屬接地進行靜電屏蔽,對于電感性耦合,則采用一般的電磁屏蔽。而對于遠場中的電磁波也同樣可以用金屬體進行隔離,以阻止這種噪聲的傳播。
屏蔽的效果與頻率、屏蔽體的幾何形狀、材料性質等因素有關,在分析這些因素并在實際應用屏蔽措施時,金屬屏蔽體對輻射波的衰減作用的機理研究尤為重要。金屬板屏蔽體對電磁波的衰減可由圖2來說明,當電磁波Ei入射到金屬板上時,一部分由AB表面AB反射,另一部分進入金屬體內,而在途中被不斷衰減后達CD面,這時其中又有一部分經E1透過CD面從金屬板內穿出,另一部分則由CD面反射,仍在金屬板內部傳播,同樣有一部分穿過AB面穿出,一部分仍在AB面反射。這樣在金屬板內多次反射和傳播,則透過金屬屏蔽的電磁波總和E-En=Et。

金屬屏蔽板的屏蔽效果是用透過金屬板后的波Et和入射波E1強度之比表示(Et/E1)。無限大的屏蔽平板對于平面波入射時的屏蔽效果可用S表示:

其中:A為厚度為t的屏蔽板內電磁波傳輸中的損耗;B為反射損耗系數;R為入射損耗系數;S的單位為dB。
實例分析
一般常用材料的在不同頻率下的屏蔽效果如表1所示。從表1可以看出較薄的金屬箔也有100dB以上的屏蔽效果。

吸收損耗A大于10dB,修正系數B可忽略不計。一般在遠場中B也可忽略不計。因為這時的反射損耗很高,B與它相比非常小。對于遠場中的反射損耗R,隨屏蔽阻抗降低而增大。所以應設法減少屏蔽阻抗,這可用高導電率和低導磁率的材料。對于吸收損耗A,由于電磁輻射通過介質時,感應的電流產生電阻熱量損耗,其幅度以指數方式衰減,當它衰減到入射時的1/e或37%,此點離入射點的距離定義為集膚深度δ,銅、鋁、鋼列于表2。圖3是遠場內厚度為0.508mm的銅材料的屏蔽效果圖。


結果討論
a.集膚深度隨頻率增高而減小,電磁波衰減到原來的37%時集膚深度就已很小。
b.銅屏蔽殼體在頻率為0.5MHz時,其衰減到1/100的透入深度只在距表面約0.4mm處,而鋁則在約0.6mm處,鋼在約l.0mm處。
c.在高頻范圍內,采用厚度0.5~1.5mm的金屬材料作屏蔽效果較為理想。
d.使用鐵磁性作屏蔽體適用于100KHz以下。
e.屏蔽效果由反射損耗R決定。
吸收損耗與屏蔽介質厚度成正比,與集膚深度成反比。從頻率角度看,吸收損耗隨頻度增加而增加,這是由于集膚深度隨頻率增加而減小造成的。反射損耗從圖3可以看出將隨頻率增加而降低,而吸收損耗隨頻率的增加而增加,最小的屏蔽效果出現在中頻頻率。對于低頻平面波的大量衰減是由于反射損耗,而高頻時大量損耗是由于吸收損耗。
屏蔽高頻電磁場輻射,其屏蔽體材料和厚度的選擇,可從取得較好的屏蔽性能出發,往往優先考慮屏蔽體的機械強度、彎曲易加工性、彈性零件的尺寸穩定性以及接觸電阻等因素來滿足需要,同時還要綜合考慮屏蔽體的外形尺寸、所受磁場方向、漏磁、接地點等問題。





