【導讀】為了達到自動駕駛目標,需要設計合適的線控轉向系統,當傳統汽車發生轉向系統的失效問題時,汽車只能進入減速狀態并最終完成停車,不能對軌跡進行精確跟蹤,甚至還會造成交通事故[5-6]。由此可見,如何調節轉向系統故障容錯能力已經成為一項關鍵措施。在分布結構電驅動汽車系統中可以設置多個電機形成橫擺力作用再對轉向系統橫向偏差進行補償,由此確保轉向系統失效的情況下也可以保持設定軌跡路線行使,實現駕駛安全性能的大幅提升[7-8]
摘要:本研究有助于提高自動駕駛狀態慣性監測能力,對自動駕駛技術的提高有一定的理論支撐意義。
1 引言
為了對分布動力結構汽車進行主動控制,需要對其行駛階段的各項動力學參數開展精確采集與分析,但在信息測試過程中需要配備高成本的傳感器檢測設備,并且也無法滿足信號可靠度要求,同時還需關注車輛質心偏角等指標[1-2]。
為了達到自動駕駛目標,需要設計合適的線控轉向系統,當傳統汽車發生轉向系統的失效問題時,汽車只能進入減速狀態并最終完成停車,不能對軌跡進行精確跟蹤,甚至還會造成交通事故[5-6]。由此可見,如何調節轉向系統故障容錯能力已經成為一項關鍵措施。在分布結構電驅動汽車系統中可以設置多個電機形成橫擺力作用再對轉向系統橫向偏差進行補償,由此確保轉向系統失效的情況下也可以保持設定軌跡路線行使,實現駕駛安全性能的大幅提升[7-8]?,F階段,已有許多國內外學者開展了車輛動力系統運行參數方面的觀測分析,形成了Luenberger 觀測器、二乘估計( RLS)、卡爾曼濾波(KF)、滑模測試(SMO)、非線性監測等不同類型的算法。由于載荷存在不確定的情況,這使得車輛慣性參數如質量、橫擺轉動慣量也發生改變,從而對整體操控性與結構穩定性產生明顯影響,對車輛慣性參數開展實時監測也成為當前的一項重要信息分析工作[9]。
雖然目前已在車輛狀態分析方面獲得了一定的研究進展,但尚未針對車輛慣性參數開展深入探討[10]。根據擴展卡爾曼濾波(EKF) 與RLS 估計得到加權值,同時引入混合動力電動公交車混合估計方法[11]。為能夠對車輛動力慣性參數開展非線性評價,需要開發分布結構驅動力卡爾曼濾波(DUKF) 方法與觀測系統聯合系統車輛慣性監測。
2 車輛狀態參數聯合觀測系統設計
針對車輛控制系統建立并聯雙無跡卡爾曼濾波(DUKF) 觀測方法時,根據車輛信息測試結果構建非線性車輛DUKF 狀態方程并建立分析算法。在分布結構驅動電動汽車傳感器中,除了具備傳統傳感器慣性量參數如質心橫擺角速度、縱向和側向加速度以外[12],還可以提供輪轂電機傳感器進行車輪角速度測試,同時利用電壓信號輪轂轉矩與線控系統采集轉向過程轉角信號,圖1給出了電動汽車雙無跡卡爾曼濾波觀測器的具體結構,為車輛DUKF 觀測器構建以下狀態計算式和觀測算法。

圖1 車輛DUKF觀測器結構
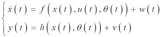
(1)
對于以上狀態觀測系統,x(t) ∈ ?n、θ(t) ∈ ?n 依次對應非線性動力觀測器的狀態與參數矢量,u(t) ∈ ?n與y(t) ∈ ?n 屬于車輛非線性動力學觀測器輸入與量測矢量,w(t) ∈ ?n、v(t) ∈ ?n 屬于系統過程噪與量測噪聲,這2 個參數再系統中呈現不相關的忒單,并且均值都為零。
進行估計的時候,電動汽車慣性參數比運動狀態的變化速度更慢,假定慣性參數呈現小幅擾動狀態,可以建立以下的參數估計系統:
(2)
進行估計的時候,電動汽車慣性參數比運動狀態的變化速度更慢,假定慣性參數呈現小幅擾動狀態。
x(t) = (r z,V x,β,a y,F yij,V y)T,
y(t)=(r z,a x,a y)T
u(t)=(δ f,ωij,Tij)T,θ(t)= (m n,I zz )T (3)
由于DUKF算法屬于一類遞推形式的預估―校正算法,需采用離散化方法襯里車輛非線性動力學觀測器。
擴展卡爾曼濾波(EKF) 方法已經成為汽車動研究領域獲得廣泛應用的非線性系統濾波技術,從本質層面分析,EKF 是對最優狀態下的非線性系統模型實施Taylor級數一階展開的過程,通過轉換非線性濾波過程得到線性濾波結果, 經過線性化處理后形成了明顯高階項截斷誤差[13];UKF 屬于非線性系統內進行統計特性分析的新方法,通過設定一組確定采樣Sigma 點對概率密度分布結果進行近似后驗證計算,同時利用Unscented 轉換的方式來消除EKF 線性化過程產生的估計偏差,有效滿足了車輛的非線性動力學評價要求。
3 仿真與分析
3.1 仿真工況
為電動汽車設計了一種外接分布結構驅動系統,并通過Matlab/Simulink 系統為電動汽車構建觀測器,CarSim 和Simulink 之間的仿真通信利用CarSim-S 函數構成接口。進行仿真測試時,以高附著瀝青路面作為車輛測試路面,初期質量1 235 kg,橫擺轉動慣量2 030 kg/m2。
3.2 結果分析
為了評價DUKF 觀測器進行車輛狀態觀測的性能,選擇激烈的正弦轉向工況作為測試條件,形成圖2 的方向盤轉角,之后通過雙擴展卡爾曼(DEKF) 觀測器開展比較。

圖2 轉向角
圖3、圖4 顯示了正弦轉向過程的DUKF 和DEKF測試結果。分析圖3、圖4 可知,DUKF 和DEKF 兩個觀測器都可以實現車輛縱向速度和橫擺角速度的穩定觀測性能,都可以實現很低的狀態觀測誤差,對局部區域進行放大分析可以發現,采用DUKF 方法進行觀測得到的數據比DEKF 方法更加符合實際情況;以觀測器分析車輛質心側偏角可知,DUKF 和DEKF 對于車輛質心側偏角觀測的結果存在較大誤差,這主要是因為車輛系統沒有設置模型動態特性引起的,也可能是受到不準確建模參數影響而降低濾波精度引起的結果,EKF 觀測值與車輛真實狀態之間存在明顯偏差,DUKF 相對DEKF的觀測誤差顯著降低,這可能是由于EKF 車輛動力學系統局部線性化處理時存在高階截斷誤差。

圖3 車輛縱向速度結果

圖4 車輛橫擺角速度結果
4 結束語
本文開展電動汽車并聯DUKF 狀態觀測器設計及轉向工況分析,得到如下有益結果:
1)采用DUKF 方法觀測數據比DEKF 方法更加符合實際情況;
2)DUKF 和DEKF 對于車輛質心側偏角觀測結果存在較大誤差。
該研究有助于提高自動駕駛的穩定性,但存在對異常路況分析準確度不高的問題,期待后續引入深度學習算法進行加強。
參考文獻:
[1] 黃偉杰,張希,朱旺旺,等.基于融合地圖的自動駕駛激光雷達定位算法[J].傳感器與微系統,2023,42(5):139-142.
[2] 金立生,韓廣德,謝憲毅,等.基于強化學習的自動駕駛決策研究綜述[J].汽車工程,2023,45(4):527-540.
[3] 張新鋒,王萬寶,柳歡,等.高速動態交通場景下自動駕駛車輛換道意圖識別模型研究[J].汽車技術,2023,571(4): 8-15.
[4] 趙艷輝,段朝陽,李海峰,等.BTT機動自動駕駛儀解耦補償控制器設計方法[J].航空兵器,2022,29(2):106-112.
[5] 蔡英鳳,陸子恒,李祎承,等.基于多傳感器融合的緊耦合SLAM系統[J].汽車工程,2022,44(3):350-361.
[6] 張晶威,劉鐵軍,李仁剛,等.自動駕駛多傳感器融合的時間校準方法研究[J].汽車工程,2022,44(2): 215-224.
[7] 陳士剛.基于模型的電動汽車PTC控制方法[J].電子產品世界,2021,28(9):32-34.
[8] 張京,朱愛紅.基于遺傳算法和粒子群優化的列車自動駕駛速度曲線優化方法[J].計算機應用,2022,42(2):599-605.
[9] 毛廣輝.自動駕駛芯片需要滿足高吞吐與低時延[J].電子產品世界,2020,28(12):10+14.
[10] 邱威智,上官偉,柴琳果等.面向車路協同孿生仿真測試的多尺度濾波同步方法[J].交通運輸工程報,2022,22(3):199-209.
[11] 李旭,秦嗣牧,王建春.車路協同環境下的雙雷達車輛檢測和跟蹤優化方法[J].重慶理工大學學報(自然科學),2021,35(10):42-48.
[12] 周兵,李濤,吳曉建,等.基于雙自適應無跡卡爾曼濾波的半掛車狀態估計[J].湖南大學學報(自然科學版),2022,49(2):63-73.
[13] 周標準,裴???董國成.基于無跡卡爾曼濾波的月球車慣性/天文組合導航算法研究[J].科學技術與工程,2012,12(24):6102-6106.
(本文來源于《電子產品世界》雜志2023年8月期)
作者:黃亞成(福建省南平市閩北高級技工學校機械教研組,福建南平 354000)
免責聲明:本文為轉載文章,轉載此文目的在于傳遞更多信息,版權歸原作者所有。本文所用視頻、圖片、文字如涉及作品版權問題,請聯系小編進行處理。
推薦閱讀:
如何更高效、更準確地測試驗證帶有Redriver的PCIe鏈路?


