【導讀】MEMS陀螺儀提供了測量旋轉角速度的一種簡單方法,其封裝很容易連接印刷電路板,因此被廣泛用于許多不同類型的運動控制系統中作為反饋檢測元件。在這種類型的功能中,角速度信號(MEMS陀螺儀輸出)中的噪聲對關鍵系統行為有著直接的影響,比如平臺穩定性,因此通常是影響MEMS陀螺儀能夠達到的精度級別的主要因素。
對于定義和開發新的運動控制系統的系統架構師和開發人員來說,“低噪聲”是一種自然的且具有指導意義的指標。要想進一步理解這個指標(低噪聲),需要將關鍵的系統級標準(比如指向精度)轉換為MEMS陀螺儀數據手冊中常見的噪聲指標,這是早期的概念和架構化工作的重要組成部分。理解系統對陀螺儀噪聲行為的依賴性有很多好處,例如能夠建立針對反饋檢測元件的相關要求,或反過來分析對某個特定陀螺儀中噪聲的系統級響應。
一旦系統設計師深入理解了這個關系,他們就能重點掌握影響角速度反饋環路中噪聲行為的兩個關鍵領域:(1)為MEMS陀螺儀的選擇開發最合適的標準,(2)在整個傳感器的集成過程中保持合適的噪聲性能。
運動控制的基本原理
建立MEMS陀螺儀中噪聲行為之間的有用關系并分析它對關鍵系統行為有何影響通常都要從理解系統如何工作開始。圖1提供了一個運動控制系統的架構例子,它將重要的系統組件分解成了功能模塊。這種系統的功能性目標是建立一個對慣性運動敏感的個人或設備用穩定平臺。自動駕駛汽車平臺上的微波天線就是這樣一個應用例子,它要在造成車輛方向突然改變的速度等惡劣條件下進行操控。如果沒有對指向角度的實時控制,這些高度方向性的天線在經歷這種慣性運動時可能無法支持連續的通信。

圖1:運動控制系統架構例子
圖1所示的系統使用了一個伺服電機,它將以與系統其余部分相同或相反的方向進行旋轉。反饋環路從MEMS陀螺儀開始,由陀螺儀監視“穩定平臺”上的旋轉速度(ωG)。陀螺儀的角速度信號隨后饋入由濾波、校準、對齊和積分組成的特殊應用數字信號處理電路,產生實時的方向反饋信號(φE)。伺服電機的控制信號(φCOR)來自這個反饋信號與“被命令”方向信號(φCMD)的比較,后者來自中央任務控制系統,或只是代表支持平臺上的設備理想工作的方向。
應用例子
從架構的角度看圖1所示運動控制系統的移動,有價值的定義和觀點也來自對特殊應用的物理屬性的分析。考慮圖2所示的系統,它從概念的角度觀察生產線上的自動化檢查系統。這個攝像機系統可以檢查傳送帶上進出視場的物件。在這個方案中,攝像機通過一個長的支架掛接到天花板上。這個支架確定了其高度(見圖2中的“D”),可根據它要檢查的目標物體大小優化其視場。由于工廠中充滿了機械設備和其它活動,攝像機可能時不時經歷擺動(見圖2中的“ωSW(t)”),從而可能導致檢查圖像的失真。
這張圖中的紅色虛線是對來自這種擺動的總角度誤差(±φSW)的放大圖,綠色虛線代表支持系統圖像質量目標的角度誤差水平(±φRE)。圖2在檢查物體表面上的線性位移誤差(dSW, dRE)方面定義了關鍵的系統級指標(圖像失真)。這些屬性通過公式1中簡單的三角函數與攝像機的高度(D)和角度誤差項(φSW, φRE)建立起了關系。 20160706A02


圖2:工業攝像機檢查系統
針對這種系統的最適用的運動控制技術被稱為圖像穩定技術。早期的圖像穩定系統使用基于陀螺儀的反饋系統來驅動伺服電機,并在快門打開期間調整圖像傳感器的方向。MEMS技術的出現以革命性的方式幫助減小了這些功能的尺寸、成本和功耗,從而使得這種技術在現代數碼相機中得到了廣泛使用。數字圖像處理技術的發展(在它們的算法中仍然使用基于MEMS的角速度測量)已經導致許多應用取消了伺服電機。
不管圖像穩定效果來自于伺服電機還是通過圖像文件的數字化后處理,陀螺儀的基礎功能(反饋檢測)仍然是一樣的,噪聲結果也是如此。為了簡單起見,本次討論專注于經典方法(在圖像傳感器上使用伺服電機)研究最相關的噪聲原理,以及它們是如何關聯到這類應用最重要的物理屬性的。
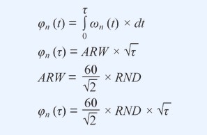
角度隨機游走(ARW)
所有MEMS陀螺儀的角速率測量都存在噪聲。這種固有的傳感器噪聲代表陀螺儀工作在靜態慣性(沒有旋轉運動)和環境條件(沒有振動、沖擊等)下輸出中的隨機變化。MEMS陀螺儀數據手冊中描述它們噪聲行為的最常用指標是速度噪聲密度(RND)和角度隨機游走(ARW)。RND參數一般使用的單位是degrees/sec/√Hz,它根據陀螺儀的頻率響應從角速度方面提供了預測總噪聲的簡單方法。
ARW參數一般使用的單位是degrees/√hour,在分析指定時間內噪聲對角度估計值的影響時更加有用。公式2提供了根據角速度測量結果估計角度的通用公式。另外,它也提供了將RND參數關聯到ARW參數的簡單公式。這個關系代表了在IEEE-STD-952-1997(附錄C)基礎上的小改變(單側與雙側FFT)。

圖3提供了圖形參考,它有助于進一步討論ARW參數表示的行為。這張圖中的綠色虛線代表陀螺儀的RND等于0.004 degrees/sec/√Hz時的ARW行為,相當于ARW為0.17 degrees/√hour。實線代表這個陀螺儀的輸出在25ms時間內的6次單獨積分。角度誤差相對于時間的隨機屬性表明,ARW的基本用途是估計在規定積分時間內角度誤差的統計分布。另外值得注意的是,這種響應假設使用高通濾波濾除了積分過程中的初始偏置誤差。

圖3:角度隨機游走(ADIS16460)
回顧圖2所示的應用例子,將公式1和2組合起來可以將重要標準(檢查表面上的物理失真)關聯到MEMS陀螺儀數據手冊中常見的噪聲性能指標(RND,ARW)。在這個過程中,假設公式1的積分時間(τ)等于圖像捕獲時間,這樣可以得到有用的再次簡化。公式3應用公式1的通用關系來估計當攝像機離檢查表面1米(D)遠以及最大允許失真誤差為10μm (dRE)時,來自陀螺儀的角度誤差必須小于0.00057度。

公式4整合了公式3的結果和公式2中的通用關系來預測特定情形下對MEMS陀螺儀的ARW和RND要求。這個過程假設35ms的圖像捕獲時間代表來自公式2的積分時間(τ),進而導致預測陀螺儀的ARW需要小于0.18 degrees/hour1/2,或RND必須小于0.0043 degrees/sec/Hz1/2才能支持這個要求。當然,這可能不是這些參數支持的唯一要求,但這些簡單的關系確實提供了如何關聯到已知要求和條件的樣例。

角速度噪聲與帶寬
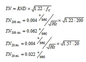
提供連續指向控制的系統開發人員可能選擇根據角速度來評估噪聲影響,因為他們可能沒有固定的積分時間來利用基于ARW的關系。根據角速度評估噪聲經常要考慮RND參數和陀螺儀信號鏈中的頻率響應。陀螺儀的頻率響應通常受濾波的影響最大,它支持針對環路穩定標準的特殊應用要求,并能抑制對環境威脅的不良傳感器反應,比如振動。公式5提供了估計與特定頻率響應(噪聲帶寬)和RND有關的噪聲的一種簡單方法。

當RND的頻率響應符合單極點或雙極點的低通濾波器規范時,根據公式6中的關系,噪聲帶寬(fNBW)將與濾波器的截止頻率(fC)有關。 20160706A09 舉例來說,圖4針對RND為0.004 degrees/sec/√Hz的ADXRS290中的噪聲提供了兩個不同的頻譜圖。在這張圖中,黑色曲線代表使用雙極點低通濾波器時的噪聲響應,這個濾波器的截止頻率是200Hz;而藍色曲線代表使用單極點低通濾波器時的噪聲響應,這時的濾波器截止頻率是20Hz。公式7可以用來計算每個濾波器的總噪聲。正如預期的那樣,200Hz版本的噪聲要比20Hz版本高。
舉例來說,圖4針對RND為0.004 degrees/sec/√Hz的ADXRS290中的噪聲提供了兩個不同的頻譜圖。在這張圖中,黑色曲線代表使用雙極點低通濾波器時的噪聲響應,這個濾波器的截止頻率是200Hz;而藍色曲線代表使用單極點低通濾波器時的噪聲響應,這時的濾波器截止頻率是20Hz。公式7可以用來計算每個濾波器的總噪聲。正如預期的那樣,200Hz版本的噪聲要比20Hz版本高。


圖4:帶濾波器的ADXRS290噪聲密度
在系統要求定制濾波的場合,其頻率響應(HDF(f))不符合公式6和7中簡單的單極點和雙極點模型,公式8提供了更為通用的關系來預測總噪聲:

除了影響總的角速度噪聲外,陀螺儀濾波器還會對總的環路響應產生相位延時,這將直接影響反饋控制系統中的另一個重要的品質因數:單位增益交越頻率點的相位余量。公式9提供的公式可以用來估計單極點濾波器(fC =截止頻率)在單位增益交越頻率點(fG)對控制環路頻率響應造成的相位延時(θ)。公式9中的兩個例子給出了濾波器截止頻率分別是200Hz和60Hz時單位增益交越頻率20Hz點的相位延時。這種對相位余量的影響可能導致規定陀螺儀的帶寬比單位增益交越頻率高10倍,從而把更多的重點放在選擇具有良好RND水平的MEMS陀螺儀上面。

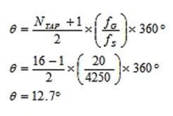
現代控制系統經常使用數字濾波器,因此在預測控制環路關鍵頻率點的相位延時時可能用不同的模型。舉例來說,公式10用于預測與16抽頭FIR濾波器(NTAP)相關的相位延時(θ),該濾波器運行在ADXRS290的4250 SPS (fS)刷新率條件下,并具有同樣20Hz的單位增益交越頻率(fG)。這種關系有助于確定在這種濾波器結構下系統架構允許的總抽頭數量。

本文小結
總之,角速度反饋環路中的噪聲對運動控制系統中的關鍵性能標準有直接的影響,因此對一個新系統來說需要在設計過程的早期加以考慮。那些能夠量化角速度噪聲如何影響系統級行為的人要比只知道需要“低噪聲”的人擁有顯著的優勢。他們能夠確立性能目標,并在他們的應用中形成可觀察的值,并且當項目其它目標鼓勵考慮特定MEMS陀螺儀時能夠更好地量化系統級結果。
一旦基本的理解到位后,系統設計師就能專注于確定能夠滿足他們性能要求的MEMS陀螺儀,并使用帶寬、速度噪聲密度(RND)或角度隨機游走(ARW)指標來指導他們的想法。當他們需要優化從所選的傳感器認識到的噪聲性能時,他們能夠使用與帶寬(角速率噪聲)和積分時間(角度誤差)的關系來形成其它重要的系統級定義,進而支持最適合的應用性能。
【推薦閱讀】



