【導讀】工程師接觸電子產品設計必須掌握電容感測等相關知識。電容感測在很多應用中都發揮著重要作用。接近度檢測、手勢識別、液面感測,這些都是電容感測的某一個方面因素,但是它們的決定性都是相同的。都是根據特定的基準來感測出納干起電容值的變化。本文我們就來介紹電容感測架構的選擇。
在今天的文章中,我們將介紹2個特定的架構類型,分別是開關電容器電路和電感器-電容器LC諧振槽路,這也是當前一種比較常見的用于電容感測的電路。下面我們就分別來看一下這兩種電容感測架構的特點和不同吧。
開關電容器電路
首先我們來看一下,電容感測過程中非常常見的一種電路架構,即開關電容器電路。下圖中,圖1所顯示的是針對電容感測的經簡化電路,該電路以電荷轉移為基礎。這一電路系統中的開關執行采樣保持運行。在采樣之間,傳感器電感器上的電荷的變化會導致輸出電壓的變化,然后,通過測量電壓的變化量可以確定電容值的變化。

圖1支持采樣保持的經簡化開關電容器電路的電路原理圖
在這種支持采樣保持的開關電容器電路系統中,如果我們需要對傳感器上的電荷進行采樣,則需要通過閉合開關S1,并且打開開關S2和S3,使傳感器電容器CS充滿電。一旦傳感器電容器CS被充滿,此時S1和S3將打開,而S2將閉合。這就使得傳感器電容器上累積的電荷被直接傳輸到保持電容器,CH中。一旦CH被充滿,S1和S2將打開,而S3將閉合。這就強制地將傳感器電容器的放電,為下一次采樣做準備。同時,它還會與輸出電壓電勢的緩沖(由CH保持穩定)隔離開來。
通過上文中的介紹我們可以看出,這種開關電容器電路是一款廣泛用于電容感測的架構,其大受歡迎的原因在于這個架構由開關操作,所以其采樣狀態和保持狀態全都是去耦合的。然而,這個技術也存在一些缺點,那就是它更容易受到噪聲的影響。由于這個傳感器具有寬頻帶特點,來自于外部干擾源的噪聲—即使這個干擾源的運行頻率不同于工作頻率—仍然會出現問題。你也許需要用于濾波的外部電路,而這將會增加系統的復雜程度,并且在濾波器引入明顯的寄生電容時,這有可能降低靈敏度。然而,如果系統并未暴露在寬頻帶噪聲中,這個架構也許就足夠用了。
LC諧振槽路
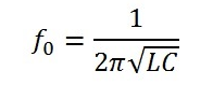
在了解了開關電容器電路的電容感測原理和優缺點之后,接下來我們再來看一下另一種常見的架構類型,即LC諧振槽路。下圖中,圖2所顯示的LC諧振器是電容感測中使用的另外一個傳感器架構。而方程式1確定了LC諧振槽路的振蕩頻率。

圖2簡單LC諧振槽路的電路原理圖

方程式(1)
這里我們需要著重看一下方程式1。從方程式1所提供的計算公式中能夠很明顯的看出,在這種電容感測架構中,振蕩頻率只取決于諧振槽路的總電感和總電容值。因此,如果電容感測的目的在于測量電容值的變化,那么諧振槽路的總電感是固定的,而諧振器的電容組件形成了傳感器。由于電容值會隨著傳感器對目標的響應而發生變化,所以振蕩頻率將會改變。然后,諧振回路頻率的變化成為你的測量值,以確定測得的電容值變化。
相比較上文中我們所介紹的開關電容器電路系統,LC諧振槽路的電路原理就顯得簡單很多了,不過雖然這種LC諧振槽路的架構非常簡單,但這種電路所具有的幾個主要優勢使其成為電容感測領域內的一個相對新型的方法。

圖3LC諧振器特性曲線
與開關電容器架構相比,我們所提到的這種LC諧振槽路架構,其優勢在于,由于其內在的窄帶特點(如上圖圖3所示),因此一個LC諧振器就能夠提供出色的電磁干擾(EMI)抗擾性。此外,如果在任何已知的頻率上的確存在噪聲源,有可能在不使用外部濾波器的情況下,通過移動傳感器的運行頻率來過濾掉這些噪聲源。這將有助于增加系統的靈敏度,并且減少其復雜程度。TI在其最新推出的產品組合中,均包含有上文所提及的這兩種電容感測的架構類型。其中,最新一代的產品FDC1004是TI的開關電容器架構版本,而FDC221x是TI的LC諧振槽路架構版本。
相關閱讀:
感測的內容是什么? 用于電容感測的有源屏蔽有何作用
有了MEMS慣性傳感器,飛機定向障礙都不是事兒!
圖解TX61U-IT太陽能溫度傳感器



