【導讀】隨著LoRa技術在業內的持續發熱,加上其獨特優越的傳輸性能,運用LoRa技術的群體正在爆發式的增長,由于很大部分群體對LoRa等射頻技術均是初次接觸,在做產品的過程中,通常會遇到棘手的射頻電路設計問題,其實只要掌握幾大要點,就基本可以發揮LoRa的最佳性能。
LoRa 是LPWAN通信技術中的一種,是美國Semtech公司采用和推廣的一種基于擴頻技術的超遠距離無線傳輸方案。這一方案改變了以往關于傳輸距離與功耗的折衷考慮方式,為用戶提供一種簡單的能實現遠距離、長電池壽命、大容量的系統,進而擴展傳感網絡。

LoRa技術與其他無線技術對比
目前,LoRa 主要在全球免費頻段運行,包括433、868、915 MHz等。
LoRa技術具有遠距離、低功耗(電池壽命長)、多節點、低成本的特性。
LoRa 網絡主要由終端(可內置 LoRa 模塊)、網關(或稱基站)、Server 和云四部分組成。應用數據可雙向傳輸。

隨著LoRa技術在業內的持續發熱,加上其獨特優越的傳輸性能,運用LoRa技術的群體正在爆發式的增長,由于很大部分群體對LoRa等射頻技術均是初次接觸,在做產品的過程中,通常會遇到棘手的射頻電路設計問題,其實只要掌握幾大要點,就基本可以發揮LoRa的最佳性能。
要點一、匹配電路設計
在原理圖設計時,需要在天線接頭與模塊的天線引腳之間預留一個π型匹配電路。天線的阻抗是受到電路板的鋪地、外殼和安裝角度等因素影響的,預留這個π型匹配電路是為了當天線嚴重偏離50歐姆時,將其糾正到50歐姆。 默認情況下,天線阻抗是比較接近50歐姆的,在下圖中的C17和C18不用焊接;而L2用220pF電容,或者1nH電感,再或者0歐電阻,三者均可。遇到特殊的情況時,比如天線安裝模具內部、天線的體積很小或需要加強高次諧波抑制等,這三個匹配元件才需要進行匹配調整。

圖:LoRa模塊應用的預留匹配電路 理論上,無論天線阻抗在任何值,都可以通過π型匹配電路將其匹配到50歐姆。然而實際上電感電容都是有內阻的,這個內阻會吸收能量,若天線阻抗太小(幾歐姆)或大(上千歐姆)的話,通過匹配電路將其匹配到50歐姆去就失去了意義。原因在于大部分的能量已消耗在匹配元件的內阻上。
要點二、微帶線走線規則
此處所說的微帶線指的是LoRa模塊的天線引腳到天線接頭之間的PCB走線。下圖是LoRa模塊ZM470SX-M評估板上的微帶線示例,由于模塊內部阻抗以及天線阻抗都是以50歐姆標準來設計,因此當微帶線特征阻抗也是50歐姆時,三者得到了最佳匹配。

圖:LoRa模塊郵票孔式天線接口 為得到50歐姆左右的微帶線,一方面可以向PCB生產廠家提阻抗加工要求,有能力的PCB廠家能夠根據板材參數通過線線寬來控制走線阻抗;另一方面可以從PCB廠家獲取板材參數后(主是介電常數)通過軟件自己計算線寬,從而把阻抗控制在我們期望的范圍。

圖:LoRa學習評估板
根據經驗,若用FR4的板材(介電常數在4.2~4.6之間),當線寬為微帶線到參考層距離的2.2倍時,特征阻抗比較接近50歐姆。例如用雙面板的情形,板厚為0.8mm時,可取線寬為1.7mm。但必須注意,微帶線下面的鋪地必須是完整的,微帶線與鋪銅間距根據阻抗計算軟件計算結果來設定。模塊天線引腳兩側的地焊盤必須良好接地。

圖:ZM470SX-M評估板微帶線示例
由于470MHz電磁波的波長較長,如果這段微帶線走線長度不超過20mm時,走線特征阻抗在25~75歐姆范圍對性能影響不大,這種情況下建議使用25mil線寬即可。
要點三、PCB鋪地要求
我們遇到過很多這樣的情況:用戶將我們的模塊用到產品上,產品程序上使用與我們評估板一樣的配置參數,并使用我們評估板上的天線,通信效果卻明顯比我們的評估板差很多。與通信距離相關的無非就發射功率、接收靈敏度和天線這三個關鍵參數,其中前面兩個參數在我們模塊出廠家時有測試過的,不合格的產品是當廢品處理掉的,而天線是因用戶的設計不同而不同。影響通信的距離主要就是天線這個參數,其它兩個參數幾乎不會因用戶的板子不同而發生較大的變化。

圖:ZM470SX-M評估板PCB示例
在空氣中,頻率為470MHz的電磁波波長為63CM,若設計一款標準的半波偶極子天線,則這款天線至少為半個波長,即31.5CM。實際應用中,絕大部分的產品并沒有給天線設計預留這么大的空間,所以普遍采用彈簧天線。使用這種彈簧天線時,天線接在不同的板子上,其性能參數是不一樣的。這是因為這種類型的天線,彈簧只是整個天線的一部分,另一部分是電路板上的地,故在電路鋪地的時候就得有講究了,總原則就是:一是要盡可以使天線垂直電路板安裝,二是要使鋪地的銅塊盡量大并且連續,并依靠密集的過孔來使正反兩面的鋪地連續也是可行的。
要點四、天線安裝規范
在所有硬件參數調整好后,天線的安裝也是關鍵一步,天線輻射是有方向性的,并不是每個方向輻射相等的能量,如同我們講話一樣,有的方向聽到的聲音強,有的方向弱。安裝天線的時候,需要將天線輻射最強的方向對準接收的天線,接收天線才可能獲得最強的接收信號,要做到這一點,必須先知道天線的輻射方向才行。
在沒有暗室等專業天線測試實驗室的情況下,那如何測試天線的輻射方向呢?我們可以在最終確定產品后,讓其連續不斷發送數據,并用頻譜分析儀測試離產品一定距離的信號強度,旋轉被測試的產品,并記錄各個方向的信號強度,從而可以繪制出產品的天線輻射大致方向圖。

圖:輻射方向測試
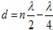
靠近墻壁、門和金屬面等反射面安裝時,需要注意反射帶來的影響,理論和測試結果都證明了以下的結論:
最佳位置:

最差位置:

最佳與最差位置相距λ/4交替出現;
RX1優于RX2,例如470MHz時,離反射面16CM效果遠優于32CM。

圖:電磁波的反射
(來源:ZLG致遠電子)
推薦閱讀:




