中心議題:
- 噪聲對手機接收器的影響
- 手機接收信道上的噪聲源
- 頻譜噪聲是如何進入手機接收信道
解決方案:
- 手機接收器信道敏感性測試
在對移動電話進行測試時,了解可能的干擾信號源及其在手機前端所表現出來的效果是很重要的,它可以有助于確定接收器測試對RF干擾的感應情況,并找出消除干擾信號的可行方法。本文介紹CDMA手機接收器在測試時遇到的干擾特性,并加以詳細分析,提出參考解決方案。
移動電話測試一個主要關心的問題是它在很寬動態范圍內的響應情況。CDMA手機與模擬或TDMA手機比較尤其如此,因為它在很寬的帶寬范圍內具有80dB動態范圍,這種大動態范圍是CDMA技術的一個獨特優點,CDMA手機和基站的發射功率平均起來要比其它技術都低。由于這種手機能收到-104dBm以下的信號,因此規定頻譜內的噪聲會影響最低性能標準如TIA/EIA-98C中列出的多項測試,所以了解干擾對CDMA手機接收器測試的影響是非常重要的。
1 噪聲影響
對手機進行測試時,考慮噪聲之前首先應了解手機的結構。手機里既有發射器(TX)又有接收器(RX),發射器發射功率在+30dBm到-55dBm之間,接受器信號接收范圍則在-20dBm到-108dBm之間。CDMA手機的發射器和接收器動態范圍都很大,超過80dB,最大功率(Ⅲ級手機為+23dBm)和接收器靈敏度(-104dBm)是需要了解的最重要的指標。

CDMA手機測試要進行多項試驗以保證手機符合特定的標準要求。例如測試手機發射器功率保證傳輸功率范圍在很寬動態范圍內都是精確的,特別要測試手機最大傳輸功率,確保手機輻射功率靠近最大EIRP(有效各向同性輻射功率)規定的最小值,Ⅲ級手機發射功率范圍是+23dBm~+30dBm。與噪聲相比由于儀器測量到的功率較大,因此噪聲一般在測得的整個功率中只是一個無關緊要的因素。另外手機發射器也要測試看是否符合最低發射要求,CDMA最低功率發射規定手機發射必須小于-50dBm,即使在這種情況下,發射信道噪聲影響通常也是微不足道的,不會影響最低功率的測量。測量CDMA最低功率出現的問題一般是由使用的功率計噪聲最低限制引起的。
在手機接收信道上,接收器靈敏度測量將會受到噪聲的影響。CDMA手機接收器靈敏度規定為-104dBm,手機必須能夠以低于0.5%幀差錯率對以-104dBm發射的正向鏈路信號進行解調。Eb/Nt是表示手機準確接收和解調正向鏈路信號能力的參數,其中Eb是通信信道每位的能量,Nt是接收帶寬上的總噪聲,這有點像模擬電路中的信噪比(S/N)。當Eb/Nt比率增加時,接收器就能更好地準確解調出信號;而隨著Eb/Nt降低,手機則很有可能錯誤解調正向鏈路信號。正向鏈路通信信道的實際位能量要比總正向鏈路功率-104dBm規定值低15.6dB,換言之,在測量中手機接收的實際信號是-119.6dBm,從這點出發,我們將在混合了Walsh代碼的內容里參考正向鏈路信號。
根據手機接收器設計的容差不同,它對噪聲的靈敏度也不相同,通常當手機性能處于邊緣值時一般正向鏈路信道上都會有噪聲問題,有很多因素會影響Eb/Nt中的Nt。
2 接收信道上的噪聲源
2.1 KTB底噪聲
Nt的本質是熱噪聲,這是環境中永遠存在的。熱噪聲又被稱作KTB底噪聲,其中:K=波爾茲曼常數(1.38×10-23);T=參考溫度(開氏);B=接收器有效噪聲帶寬
對于工作在1.23MHz帶寬的CDMA系統,熱噪聲約-113dBm。你也許會問,接收器是如何通過-113dBm底噪聲來解調-119dBm通信信號的?這是因為CDMA處理增益有將近21dB,可將14.4kbps/9.60kbps轉到1.228Mcps速率。
[page]
2.2 元件噪聲
收器前端元件(下轉換器和放大器)的噪聲也會產生Nt,影響手機靈敏度,即正向鏈路功率測試級所達到的-104dBm規定靈敏度水平。另外其它所有噪聲因素都會提高Nt,同時影響靈敏度測試的成功。與處于性能指標邊緣的手機比較,具有一定容差的手機有更大空間容納增加的噪聲。
2.3 環境噪聲
還有眾多來源不明的噪聲也會降低正向通信信道的Eb/Nt。如任何有發射功率的電路都會產生頻譜噪聲,大小取決于信號本身或兩個干擾信號互調是否有較高功率落在被測帶寬上,還要看它是否和靈敏度測試一起出現。外部單元也會產生干擾噪聲,測試800MHz CDMA手機時對AMPS系統尤其如此。甚至有報告指出微波爐也會干擾手機靈敏度測試,有很多生產工廠午餐地點靠近生產線,如果在中午或休息時間發現大量靈敏度問題,你應該知道去哪里查找原因。
2.4 緊密接觸下的測試
在生產環境下,有很多測試臺根據測試方案在各階段對手機進行測試,這就是說正在某個階段測試的手機會干擾另一個在不同階段測試的手機。一般來講,被干擾的手機測試的正是靈敏度。記住正向鏈路設定在-104dBm,主要干擾可能是鄰近手機正在接收一個大的正向鏈路信號,而正好一個手機又在進行靈敏度測試,其正向鏈路信號設定在-104dBm或以下。將正向鏈路設定在較高水平的手機測試包括動態范圍、最小發射功率和開環范圍,一般來講這些測試的正向鏈路為-25dBm。

2.5 接收器和發射器耦合
影響Nt大小的另一個噪聲源是手機發射器與接收器的交*耦合,這是手機設計的問題,由于接收和發射信道之間沒有適當隔離或匹配造成。因為是設計問題,所以解決方法的成本很高而且很困難。正向和反向鏈路間隔45或80MHz,故分別對單元波段和PCS波段來說干擾在鏈路之間是高度隔離的,在手機前端會發現從一個鏈路到另一個鏈路的串話現象,這是手機前端設計的問題。
3 接收器信道敏感性
既然頻譜噪聲主要來源上面都已列出,現在我們來看一下這些頻譜噪聲是如何進入手機接收信道的。
通常我們采用兩種方法測試手機,最常用的是通過物理RF連接進行測試,這種連接常被稱為“過電”連接,而不常用的測試連接方法則是直接通過手機天線。我們假定這里討論的所有測試都是通過物理“過電”連接器進行,根據手機生產工藝決定是否連接天線。為了發現最壞的情況,我們假定天線已裝配到手機里。
[page]
多數情況下,手機會因屏蔽很差的RF電纜或未連接的天線端口很容易受到噪聲影響。一般來講天線端口是噪聲的主要來源,特別是如果天線是在測試時才接上。圖3表示正在進行靈敏度試驗的手機對另一個正向鏈路功率-25dBm手機可能產生的影響情況,手機1是正在進行測試的手機,具有較高的-25dBm正向鏈路功率。由于手機1發射信道功率為-25dBm,假設未連接開關的衰減是20dB,那么通過天線未連接端口泄露出的信號可能高達-45dBm。

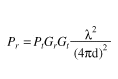
衰減值大小因設計而變化。由于通過天線泄漏的信號是經由空氣傳播,其傳播衰減可用Friis轉換方程計算:

其中:Pr=接收功率;Pt=傳輸功率;Gr=天線傳輸增益;Gt=天線接收增益;λ=波長;d=Tx與Rx之間的距離
假設在最壞情況下,手機1距離手機2 1米遠(假定只有遠場效應,近場因素很難考慮),將兩個手機平行對準且手機之間沒有衰減材料,則手機2的天線會收到一個高達-83.92dBm的信號。這樣手機2的接收器就會有-103.92dBm干擾信號,因為假設天線到過電開關的衰減為20dB。這個例子說明了一個手機在另一手機接收信道上產生噪聲的一般原因,根據例中所做假設,在實際執行中還有很多情況會引起不同的結果,這也為認識哪種噪聲會從一個手機進入另一個手機信道提供了基礎。方位、距離、開關衰減、屏蔽、天線設計和實現方式等,這些因素都會在引入噪聲的整個轉換中發揮作用。
4 幾點注意事項
- 如果是通過“過電”連接測試,天線沒有連接比連接了的要好。由于手機設計是圍繞在所要求頻段有效發射和接收信號,如果通過物理過電連接來測試,天線還是能夠接收外來信號,加在發射和接收器前端。接上天線后,也可能在測量手機發射端時以較高功率把大信號發射到外面去。在希望測試頻率上消除天線端口匹配(從天線連接器上取下天線)后,手機能在較高衰減電平上接收和發射信號。
- 由于外界干擾會進入被測RF電纜與手機的連接,因此使用適當屏蔽的電纜線是很重要的,最好是用有三重屏蔽電纜的N型連接器。
- 測試時對手機進行屏蔽會大大衰減來自其它手機或不明頻譜噪聲源的外界干擾,前面手機對手機干擾的例子在具體測試需要時確定屏蔽衰減很有用。屏蔽手機不受外來干擾并不是消除噪聲的唯一辦法,仔細處理所有被測手機頻率也能有效地避免干擾,這要求有更加復雜的控制軟件使信道數和頻率初始化,以消除頻率沖突。
- 密切關注正在使用兩個相同頻率的手機的距離還能實現頻率重復使用,手機對手機干擾的例子在確定安, 全重復使用距離上非常有用。
5 本文結論
處理接收器干擾問題時,特別是在生產環境中,找出因靈敏度測試失效而使產量降低的原因不是一件容易的事,工廠的位置、工作時間、測試方式以及其它看似不相關的因素都會造成隨機性靈敏度失效。退回一步去認識干擾噪聲主要來源和這些噪聲源如何影響接收器前端,這樣對于解決靈敏度測試通過率低的問題會更加容易一些。




