中心論題:
- 分頻式鎖相環倍頻原理
- 系統組成與設計
- 系統實驗結果
解決方案:
- 鎖相電路的仿真和設計
- 高頻電路設計
LMDS是一種較新的寬帶無線接入技術,它以初期投資少、傳輸速率高、業務類型豐富,以及非常適合在城市中高密度用戶地區(如商業大樓)提供寬帶通信服務等特點而備受業界矚目。LMDS工作頻段為24GHz~29GHz, 可擴展到10GHz~66GHz。這意味著需要毫米波收發系統。LMDS射頻系統毫米波收發單元的接收/發射次諧波混頻器需要本地微波頻率振蕩源提供穩定的本地參考振蕩信號。
微波頻率源是所有微波系統(如雷達、通訊、導航等)的基本微波能源。主要包括固定頻率振蕩器(點頻振蕩源)和微波頻率合成器兩類。固定頻率振蕩器通常采用鎖相環技術來獲得高穩定度、低相位噪聲的輸出信號,在通訊系統和雷達系統中作為本機振蕩器得到最廣泛的應用,其中包括VCO鎖相點頻源、DRO鎖相點頻源等。石英晶體震蕩器是一種高穩定的頻率源,但是它們只能工作在幾百兆赫范圍內,不能達到設計要求。在微波頻率,設計穩定的頻率源通常用石英晶體振蕩器輸出信號經鎖相環技術N次倍頻來實現。
本文介紹的頻率振蕩器為LMDS射頻系統中的本地振蕩源設計,要求輸出信號固定頻率點為11.776GHz,信號功率為1mW,相位噪聲指標(傅氏頻率為1kHz時)為-75dBc/Hz。LMDS對本振源的精度要求較高,同時由于LMDS系統采取四相相移鍵控(QPSK)調制方式,本振源的穩定度需要達到一定量級來滿足低誤碼率的要求。利用分頻式鎖相倍頻技術可以實現低成本、高性能的微波信號發生器的設計要求。
分頻式鎖相環倍頻原理
典型的分頻式鎖相環路包括檢相器(PHD)、電壓控制振蕩器(VCO)、環路濾波器(LPF)和可編程數字分頻器(1/N)。圖1是最簡易的鎖相式頻率合成器的相位模型圖。一個高精度穩定參考信號fi輸入至檢相器,與1/N分頻后的電壓控振蕩信號f0/N檢相,產生一個電平隨兩個信號之間的相位的偏差而變化的誤差電壓。經過濾波后誤差信號作為電壓控制振蕩器的控制電壓,使得壓控振蕩器輸出f0=Nfi。鎖相環具有高穩定度,一旦完成相位鎖定,環路將會無限時保持鎖定狀態。如果電壓控制振蕩器頻率發生偏移,就會導致控制電壓發生變化,而這種變化又使得整個環路再重新回到鎖定狀態。同時由于分頻式設計,f0的抖動Δf經N次分頻后到達檢相器,也降低了對VCO的穩定性要求。通過改變分頻器分頻比,可以鎖相倍頻在不同的頻率上。分頻鎖相倍頻具有諸多優點,在高頻率微波信號發生器設計中廣泛應用。

假定檢相特性為正弦形,可求出鎖相環路的開環傳遞函數、閉環傳遞函數,以及誤差傳輸函數等。

誤差傳遞函數又可寫為:He(s)=1-H(s)
系統組成與設計
a.系統總體設計方案
不同于文獻中采取先諧波混頻獲得較高頻率的中頻信號后再鎖相獲得振蕩信號的設計方法,筆者采取對晶體振蕩器輸出參考信號直接一次鎖相倍頻獲得高頻信號,再對輸出高頻信號進行后續處理以達到設計要求的方案。該方案電路結構簡單、容易實現,獲得的振蕩信號穩定度高、相位噪聲低,但是直接高倍頻鎖相增加了射頻電路的復雜性,電路匹配和電磁兼容性問題的解決也相應地更加復雜。
在該頻率振蕩器系統中,利用高穩定晶體振蕩源輸出信號經過中心頻率為46MHz帶通濾波器,提供一個高精確的穩定參考信號至檢相器,鎖相環路分頻計數器設置為128,達到鎖相后VCO輸出5.888GHz固定點頻信號,再經過高頻電路倍頻獲得11.776GHz的二次諧波。由于采用的倍頻器基波抑制性能較差,需要通過阻帶濾波和功率放大獲得足夠功率的高穩定低相位噪聲的高純度11.776GHz振蕩信號。圖2為整個頻率振蕩器系統的設計框架。

整個系統按照信號頻率大致可以分為低頻(鎖相環電路)和高頻(倍頻放大電路)兩個模塊,鎖相環電路的設計和測試是系統仿真與設計的重點。雖然鎖相環大部分元件頻率較低,但是由于環路完成高倍數倍頻,分頻器輸入信號和壓控振蕩器輸出信號為5.888GHz的高頻信號,因此整個系統設計時要解決好高頻信號電路的匹配和電磁兼容性問題,包括確保良好的屏蔽和接地措施減少電路間的相互干擾;在避免耦合盡量減小導體長度的同時,使導體之間的距離盡可能地遠;在電源接入處需設置精致的旁路防止射頻電流在電路間傳播等。
b.鎖相電路的仿真和設計
環路濾波器設計——環路濾波器形式和參數的選取是整個鎖相環電路設計與調試的關鍵。在壓控振蕩器和檢相器設計確定的情況下,環路濾波器的傳輸函數直接決定了整個環路的傳輸函數,從而在很大程度上決定環路的噪聲性能、捕獲和跟蹤性能等。在鎖相環路設計中廣泛采用由有源比例積分濾波器組成的高增益二階環路,因為這種環路具有無條件穩定性,而且有較大相位裕度。但是為了更好地抑制控制線中干擾、提高環路噪聲抑制性能,在高增益二階環的基礎上附加一級RC低通濾波器。其電路形式如圖3所示。

環路濾波器傳遞函數為:

第一項為附加的RC低通濾波器傳輸函數,第二項為高增益二階環的環路濾波器的傳輸函數。
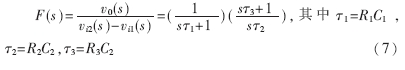
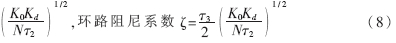
根據高增益二階環傳遞特性,環路自然諧振頻率fn= 
鎖相環路輸入參考頻率fi=46MHz。(8)式中環路阻尼系數ζ的取值直接影響環路瞬態響應。ζ值太大,環路的低通性能差,對環路相位噪聲抑制不夠;ζ太小,瞬態特性過長,捕捉時間過長;選擇ζ=0.707。根據環路特性折衷考慮環路捕捉時間和相位噪聲抑制效果,取環路fn=1MHz,fn<<fi以保證對輸入頻率的足夠抑制。筆者使用的鎖相環路電壓控制振蕩器的頻推特性為K0=150MHz/V,檢相器增益系數Kd=2V/2π。分頻倍數N=128。求得環路濾波器時間常數τ2=2.34μs,τ3=1.41μs;取電容C2=2200pF, 則R3≈580Ω,R2≈1kΩ。
為提高鎖相環路低通性能,在環路濾波器附加RC濾波器,在保證對控制線中干擾的足夠抑制的前提下,通常要求其3dB頻率點f3≥5fn以保證環路的穩定性。在實驗中,取f3=10fn=10MHz,則取R1=R2=1kΩ,C1≈1200pF。
鎖相環路穩定性仿真和分析——由于在二階高增益環中附加了RC濾波器,增強了環路對相位噪聲的抑制能力,但也影響了環路穩定性,有必要對環路穩定性進行判別。ADS中用波特圖法仿真分析環路開環傳輸函數的幅頻特性和相頻特性,見圖4。

環路仿真結果是環路的最大總相移都不超過180°,符合無條件穩定條件,即:

增益臨界頻率附近有57.119°的正相位裕度,驗證了鎖相環路是足夠穩定的。
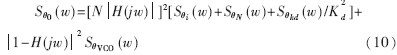
鎖相環路相位噪聲仿真和分析——根據鎖相環路閉環傳輸函數(5)式,鎖相環路輸出信號的相位噪聲譜由下式決定:

(10)式中
為輸入調相信號的相位噪聲譜,
為分頻器引入的附加相位噪聲,
為檢相器引入的附加相位噪聲譜,
為壓控振蕩器附加的相位噪聲譜。由于鎖相環閉環傳輸函數H(jw)具有低通性質,即:

可見分頻式鎖相環路對于輸入信號、分頻器、檢相器的附加相位噪聲呈低通特性,對于壓控振蕩器的相位噪聲呈高通特性。環路相位噪聲仿真結果與該結論相符,見圖5。與普通倍頻器件相似,“低通型”的噪聲通過分頻鎖相環會增加N2倍,輸入參考信號來自穩定信源,其信噪比較高,而分頻器輸出端很小的近旁頻信號在經過
后,都會在壓控振蕩器輸出一個較大的近旁頻成分。所以在設計中注意對壓控振蕩器輸出和分頻器輸入進行嚴格隔離,防止有干擾串入分頻器。

c.高頻電路設計
參考信號經過鎖相環路獲得低相位噪聲、高穩定的5.888GHz信號(功率大于+10dBm),需要設計高頻電路進行倍頻、濾波、功率放大來達到設計頻率的要求。由于采用的倍頻器基波抑制不理想,倍頻后仍殘留有較大的5.888GHz基波信號,設計
短截線基型微波帶阻濾波器對其進行濾除。帶阻濾波器阻帶中心頻率5.888GHz,阻帶衰減50dB以上,通帶衰減小于3dB,兩端均為50Ω微帶線。帶阻濾波器的諧振器為
并聯開路短截線,其間為
的連接線。濾波后采用低耗能的射頻放大器對信號進行功率放大以彌補濾波器的通帶衰減。功率放大器電路設計主要是隔直電路的設計,選用一級耦合微帶作為隔直電路,對11.776GHz信號增益可以達到10dB左右。圖6給出了用網絡分析儀測得的帶阻濾波器和功率放大器的s12特性。

系統實驗結果
在整個鎖相頻率綜合器系統,需要測量的電路單元主要有:分頻式鎖相環環路特性、高頻帶阻濾波器特性、高頻信號功率放大單元和整個頻率綜合系統的輸出頻譜特性。用Marconi 10kHz~1GHz信號發生器提供高精度46MHz參考信號,用HP8592A頻譜分析儀測量輸出信號頻率特性。頻譜結果如圖7所示,系統輸出信號頻率點在11.776GHz,系統輸出信號功率為3.64dBm。用同樣頻譜分析儀測量系統輸出信號的單邊帶相位噪聲。取偏離載頻為1kHz的測試波形,測得其單邊帶相位噪聲為-72.8dBc/Hz@1kHz。

利用分頻鎖相環技術,完成了小體積、高穩定、低相噪的固定頻率微波信號發生器的設計,輸出信號噪聲指數達-72.8dBc/Hz@1kHz。該鎖相頻率振蕩器已經用于LMDS系統設計和測試中,為毫米波收發系統次諧波混頻器提供穩定、低相噪的11.776GHz的本地振蕩源信號。





