【導讀】在《模擬對話》2017年12月文章中介紹SMUADALM1000之后,我們希望進行一些小的基本測量,這是ADALM1000系列的第四部分。本實驗活動的目標是通過脈沖波形研究串聯RC電路的瞬態響應并了解時間常數的概念。

圖1. ADALM1000原理圖。
現在我們開始下一個實驗。
目標:
本實驗活動的目標是通過脈沖波形研究串聯RC電路的瞬態響應并 了解時間常數的概念。
背景:
在本實驗活動中,將向RC電路施加一個脈沖波形,以分析該電 路的瞬態響應。RC電路對電路時間常數的影響由與之相關的脈 沖寬度決定。
時間常數(τ):RC或RL電路中發生某些電壓和電流變化所需的時間 度量。通常來說,在四倍時間常數(4 τ)之后,RC電路中的電容幾乎 完全充電,此時其兩端電壓約為最大值的98%。一般認為這個區 間就是電路的瞬態響應。發生切換后經過的時間超過五倍時間常 數(5 τ)時,各電流和電壓已達到最終值,此過程亦稱為穩態響應。
表1顯示在給定時間常數下,RC充電電路中的電容在充電時的電 壓和電流百分比。
表1. 給定時間常數的電壓和電流百分比

請注意,現實中電容不可能100%充滿。因此,實際上通常使用5 倍時間常數來表示電容已完全充滿。
一個RC電路的時間常數是其等效電容和等效電容兩端的戴維寧 電阻的乘積。
脈沖就是電壓或電流從一個電平跳變到另一電平,然后又返回原 來電平的過程。如果一個波形的高電平時間與其低電平時間相 等,則稱為方波。每個脈沖循環的長度稱為周期(T)。
一個理想方波的脈沖寬度(tp)等于時間周期的一半。
那么,脈沖寬度和頻率之間的關系可表示為:

圖2. 串聯RC電路。
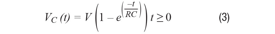
根據基爾霍夫定律,電容兩端的充電電壓VC (t)可表示為:

其中V表示τ = 0時電路上施加的源電壓,RC = τ,是時間常數。
該響應曲線呈遞增趨勢,如圖3所示。

圖3. 串聯RC電路對于步進輸入的電容充電,時間軸通過τ歸一化。
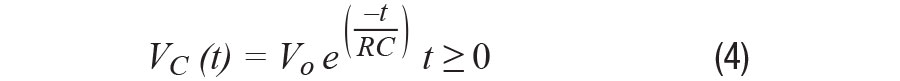
該電容的放電電壓表示為:
其中Vo表示t = 0時電容中存儲的初始電壓,RC = τ,是時間常數。 該響應曲線是一個衰減式指數,如圖4所示。

圖4. 串聯RC電路的電容放電過程。
材料:
● ADALM1000硬件模塊
● 電阻 (2.2 kΩ, 10 kΩ)
● 電容 (1 μF, 0.01 μF)
步驟:
1. 在無焊試驗板上搭建如圖5所示的電路,使用的元件為R1 = 2.2 kΩ,C1 = 1 μF。打開ALICE示波器軟件。
2. 將通道A任意波形發生器(AWG)的最小值(Min)設為0.5 V,最大值(Max)設為4.5V,從而生成一個峰峰值為4 V,中心為2.5 V的方波,作為輸入電壓施加于電路。在AWG A的模式下拉菜單中選擇SVMI模式。在AWG A的波形下拉菜單中選擇方波模式。在AWG B的模式下拉菜單中選擇高阻抗模式。

圖5. 試驗板RC電路圖。

圖6. 試驗板RC電路連接,R1 = 2.2 kΩ且C1 = 1 μF。
3. 在ALICE曲線下拉菜單中選擇顯示CA-V和CB-V。在觸發器下拉菜單中選擇CA-V和自動電平。調節時間基準,直到顯示屏方格上大約可顯示兩個周期的方波信號。

圖7. 示波器配置。
此配置使用示波器從通道A觀察電路的輸入,從通道B觀察電路的輸出。請確保您已勾選Sync AWG選擇器。
4. 針對以下三種情況觀測電路的響應,并記錄結果。
a. 脈沖寬度 » 5 τ:設置AWG A輸出的頻率,使電容在每個 方波周期內有足夠的時間完全充電和放電。令脈沖寬度為 15 τ,然后根據公式2設置頻率。所得值應約為15 Hz。如果 可行,請根據屏幕上所得的波形確定出時間常數。如果難 以求得時間常數,請說明可能存在的原因。
b. 脈沖寬度 = 5 τ:設置頻率,使脈沖寬度 = 5 τ(該頻率 應約為45 Hz)。由于脈沖寬度為5 τ,所以電容剛好能夠 在每個脈沖周期內完全充電和放電(見圖3和圖4)。

圖8. 通過計算方波個數近似測量時間常數t。
c. 脈沖寬度 « 5 τ:在此情況下,電容無法在切換到放電狀 態前充分充電,反之亦然。對于此情況,令脈沖寬度僅為 1.0 τ,然后相應地設置頻率。
5. 采用R1 = 10 kΩ,C1 = 0.01 μF重復上述步驟,并記錄測量結果。
問題:
1. 使用公式1計算時間常數(τ),并將其與4b(R = 2.2 k,C = 0.01 μF) 所得的測量值進行比較。
2. 對另一組值(R = 10 kΩ,C = 0.01 μF)重復該步驟。
您可以在學子專區博客上找到問題答案。
注釋
與所有ALM實驗室一樣,當涉及與ALM1000連接器的連接和配置 硬件時,我們使用以下術語。綠色陰影矩形表示與ADALM1000模 擬I/O連接器的連接。模擬I/O通道引腳被稱為CA和CB。當配置為 驅動電壓/測量電流時,添加-V,例如CA-V;當配置為驅動電流/測 量電壓時,添加-I,例如CA-I。當通道配置為高阻態模式以僅測量 電壓時,添加-H,例如CA-H。
示波器跡線同樣按照通道和電壓/電流來指稱,例如:CA-V和CB-V 指電壓波形,CA-I和CB-I指電流波形。
對于本文示例,我們使用的是ALICE 1.1版軟件。
文件:alice-desktop-1.1-setup.zip。請點擊此處下載。
ALICE桌面軟件提供如下功能:
● 雙通道示波器,用于時域顯示和電壓/電流波形分析。
● 雙通道任意波形發生器(AWG)控制。
● X和Y顯示,用于繪制捕捉的電壓/電流與電壓/電流數據,以及電壓波形直方圖。
● 雙通道頻譜分析儀,用于頻域顯示和電壓波形分析。
● 波特圖繪圖儀和內置掃描發生器的網絡分析儀。
● 阻抗分析儀,用于分析復雜RLC網絡,以及用作RLC儀和矢量電壓表。
● 一個直流歐姆表相對于已知外部電阻或已知內部50 Ω電阻測量未知電阻。
● 使用ADALP2000模擬器件套件中的AD584精密2.5 V基準電壓源進行電路板自校準。
● ALICE M1K電壓表。
● ALICE M1K表源。
● ALICE M1K桌面工具。
注:需要將ADALM1000連接到您的PC才能使用該軟件。

圖9. ALICE桌面1.1菜單。
免責聲明:本文為轉載文章,轉載此文目的在于傳遞更多信息,版權歸原作者所有。本文所用視頻、圖片、文字如涉及作品版權問題,請聯系小編進行處理。
推薦閱讀:





