【導讀】在本文中,我們探討了當電源位于被測器件數英尺遠時,它向動態負載提供穩定電壓時會遇到的難題。盡管負載引線阻抗可能會嚴重降低高性能電源的瞬時響應性能,您仍能能夠通過合理的配置,為被測件提供符合測試指標要求的、穩定的供電。通過在被測件端,并聯一個合適大小和特性的旁路電容,即便被測件的消耗電流出現快速瞬時的現象,也能極大改進輸入負載的電壓穩定性。
如今,很多的IC運行速度要比以往快很多,但伴隨而來的就是更高的工作電流。由于IC工作的動態負載特性,對電源在大范圍功率動態變化工作條件下的穩定性提出了更高的需求。工程師如果利用普通的程控電源為被測件供電并進行測試時,往往會遇到巨大的挑戰。IC電路高速變化的電流耗電波形會導致輸入電壓出現瞬態壓降。如果壓降過高,將會導致微處理器工作出現異常,或出現重復啟動的現象。本文將詳細介紹這種瞬態壓降產生的原因,以及如何有效減輕瞬態壓降的方法。
優化負載接線和旁路電容
在多數情況下,由于測試環境、布線及物理尺寸等因素的限制,電源往往放置在距離被測IC電路1至幾米的地方,使用長達數米的導線連接電源和被測件。導線本身的阻抗會降低被測件IC端的實際電壓。因此,幾乎所有的高性能程控電源均具備遠端回讀功能,通過接在電源遠端感應端和被測件端的感應線,測得負載端的實際電壓,并在電源的輸出端做出相應的調整和補償。在實際應用中,感應線的連接點要盡可能接近IC。然而,電源的電壓調整環路只能在可控的帶寬范圍內,抑制感應點上的電壓瞬變。當電源輸出和負載之間的導線呈現出過高阻抗時,IC的本地旁路電容能夠在這些頻率上降低這些阻抗。
以一個具有25A供電,伴有5A瞬變電流的負載應用為例。其中,電源電壓設為 2.5V,通過5英尺長的14AWG布線連接至IC測試板。由于是低電壓供電,如果電壓有超過100mV的跌落,通常是不可接受的。14AWG線每英尺的電阻為2.5mΩ,由此,在電源輸出和IC測試板之間的導線回路存在25mΩ電阻。根據歐姆定律,我們可以計算出導向回路上可能出現的壓降:
可以看出,負載導線回路電阻足以導致IC電路的電源輸入端出現難以接受的壓降;還有一點必須考慮的是負載導線上的電感。在這種情況下大約每英尺170nH, 這只會讓情況變得更糟。旁路電容(如圖1所示)可以在一定程度上顯著改善這一狀況。

圖 1. 負載引線網絡與旁路電容器
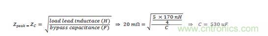
電源電壓控制回路、負載導線網絡和旁路電容之間的交互較為復雜。一些近似值能夠幫助您了解如何選擇旁路電容的大小:
具體過程如下:
1. 網絡阻抗峰值的計算
根據下面的表達式,確定負載導線網絡的指定峰值阻抗和旁路電容:
2. 計算旁路電容值
將指定峰值阻抗設為等同于由負載引線電感和旁路電容組成LC電路的特性阻抗。在本例中,假設有4條并聯雙絞線電纜運行,電感降低為原來的1/4。根據下面的公式,得出電容值。

3. 計算諧振電路的諧振頻率
如果電源輸出阻抗在LC電路諧振頻率上高于 Zpeak,必須提高電容,以降低儲能電路諧振頻率,直至滿足上述條件。

4. 選擇指定的電容等效串聯電阻(ESR),以適當衰減 LC電路的諧振
衰減不當的LC電路會出現振鈴現象,也會破壞電源控制環路的穩定性,因此,必須適當衰減LC諧振。負載引線電阻、電容的ESR都會衰減LC電路的諧振。將LC電路中的電阻設為等同于LC電路的特性阻抗,可以得到0.5的阻尼系數,以實現更快的響應和更低的峰值電壓。

如果需要的話,可以并聯不同的電容組合,以達到期望的ESR值。
結果
圖 2 顯示了在使用 Agilent N7950A APS 動態直流電源時,負載上的電壓瞬態響應。電源在設計中,專為低電壓和高電流的工作特性進行了而優化,具有極低的輸出阻抗,非常適合本應用。
圖中顯示利用N7950A APS電源給被測件供電,電壓是2.5V。電流偏置是25A,電流的瞬態變化時5A。它們使用一對5英尺長、并行的14-AWG 雙絞線電纜供電,還有另外一對相同的遠端感應線。在這里,我們可以明顯看到三種情景:

圖2. 5A瞬時電流變化時,電壓的瞬態響應
第一種情景(絳紅色的跡線):在負載端并聯了一個2000uF/10mOhm ESR的電容,可以看到負載端電壓瞬態跌落是大約為2%,50mV。
第二種情景(深藍色的跡線):在負載端并聯了一個539uF/15mOhm ESR的電容,可以看到負載端電壓瞬態跌落是大約為4%,90mV。
第三種情景(淡藍色的跡線):沒有并聯電容,可以看到負載端電壓瞬態跌落是大約為6.5%,130mV。
因此,當負載端并聯的旁路電容高出4倍后,可使LC電路阻抗下降為原來的1/2左右,很大程度上改善了電壓的瞬態壓降。



