【導讀】非隔離型光伏并網逆變器如今已被廣泛應用,直流注入的問題也隨之而來并得到了正視。本文針對直流注入問題,詳解了直流注入的原因及類型,并提出了有效方案能夠抑制這個問題。
隨著非隔離型光伏并網逆變器的廣泛應用,直流注入問題也日益受到重視,IEEE Std 929-2000規定直流注入必須小于系統額定電流的0.5%。將直流注入產生的原因分為兩種類型:測量器件輸入失調導致的平移型直流注入和測量器件的非線性造成的非線性直流注入,并分別提出了應對方法。針對平移型的直流注入問題,提出了通過一個直流分量積分補償環節來抑制逆變器控制算法中偏移型直流分量,該直流抑制算法無需增加外圍硬件電路,且只占用很少的控制芯片資源。針對非線性直流注入問題,做出了定量分析,為測量元器件非線性度指標的選擇提供了的參考價值。最后將上述直流抑制算法應用于無差拍并網控制中,并在Matlab/Simulink進行了仿真分析,結果驗證了理論分析和算法的正確性。
嚴峻的能源形勢和生態環境的壓力要求各國大力開發利用可持續的清潔能源。太陽能在眾多利用形式中具有環保清潔、蘊藏豐富、分布廣等優勢,已經成為當前世界上可再生能源的重要組成部分。世界各國紛紛投資研發,大力拓展光伏發電市場,促進了光伏并網發電并網技術的進一步提高,使其成為當前最具發展前景的新能源技術之一。基于中國光伏產業發展的需要,中國光伏產業發展“十二五”目標已進行新的調整,從之前公布的光伏發電裝機容量21 GW,擴大到35 GW。國家還將出臺對光伏產業在上網、補貼等方面的支持政策。光伏發電將成為未來的替代能源之一,建設大規模的并網光伏系統是必然的選擇。
非隔離型的光伏并網逆變器由于其省去了工頻變壓器而具有重量輕、效率高、體積小、成本低等優勢,成為光伏并網逆變器發展的主流方向。由于沒有低頻或者高頻的隔離變壓器,非隔離型的光伏并網逆變器關鍵性技術之一是并網直流電流的抑制。并網逆變器控制電路中測量元器件存在零點漂移、器件本身的非線性特性,開關管本身及驅動電路不一致等問題,造成了逆變器輸出電流中產生直流分量。電力系統不允許將有較大輸出直流分量的逆變器連接到電網上,因為注入電網直流分量會使變電站變壓器工作點偏移,導致變壓器飽和;增加電網電纜的腐蝕;導致較高的初級電流峰值,可能燒毀輸入保險,引起斷電;甚至可能增加諧波分量。IEEE Std 929-2000中規定光伏系統并網電流中直流分量必須小于系統額定電流的0.5%。因此,研究光伏并網直流注入問題具有重要的現實意義。
本文主要詳細分析了單相光伏并網系統產生直流分量注入的原因,針對偏移型直流注入提出一種通過積分補償環節有效抑制并網直流注入的算法,并將其應用到無差拍電流控制逆變器中,實現了對并網偏移型直流分量進行抑制。針對非線性直流注入問題,定量的分析了測量元器件的非線性對并網電流直流分量注入的影響,為選擇測量元器件非線性參數的考慮提供了參考。
1 非線性直流分量產生的原因及抑制方法
1.1 非線性直流分量產生的原因
光伏并網算法的完成需要實時采樣并網電流、電網電壓等正弦量,然而采樣所用到的霍爾電流電壓互感器、后級的模擬放大電路都存在一定的非線性特性,輸出與輸入信號之間的關系不是一條具有固定斜率的直線。對于輸入的正弦波形,輸入信號幅度不同時,放大倍數會不同,這將導致所測量的正弦波形發生畸變,產生直流分量。
1.2 測量器件非線性度帶來直流分量的定量分析
非線性原因導致了逆變器輸出中存在直流電流,若不采取適當措施,該直流電流將注入電網,引起電網的直流注入問題。針對非線性的直流注入問題,往往需要根據非線性特性方程來補償非線性,但這個特性廠家一般不提供,而只給出非線性度指標。采用輸入/輸出的特性曲線與理想曲線的最大偏差為ΔYi(max),用Δi(max)/|Y|來度量元器件的非線性度。
本文結合無差拍控制算法,對元器件的非線性度進行擬合仿真,并研究了測量電路非線性度對輸出直流分量的影響。搭建并網額定電流為16 A基于無差拍控制的逆變器,主要研究測量電路非線性度的大小對直流分量注入的影響,采用二次曲線擬合元器件的非線性度的大小,由于實際設計測量電路時,測量電流與電壓的元器件往往采用一個公司的產品,這里假設測量電流與電壓的電路具有同樣的非線性特性。測量結果見表1。

圖1:測量元器件非線性直流分量的產生


從表中可以看出,隨著元器件非線性度的增大,輸出直流分量的大小也隨之增加。IEEE Std 929-2000規定直流注入必須小于系統額定電流的0.5%,當測量元器件的非線性度小于0.3%時可以基本滿足IEEE Std 929-2000的規定。
[page]
2 偏移型直流分量產生的原因及抑制方法
2.1 偏移型直流分量產生的原因
并網逆變器控制電路中一般都需要測量電網電壓、并網電流等參數,所用測量元器件往往存在輸入失調的問題,導致了所測量的正弦波形整體向上或者向下偏移。結果是:由于測量產生的直流分量將被帶入到逆變器的控制算法中,將引起控制器的誤差,最終使逆變器的并網電流中含有直流分量。
圖2為針對偏移型直流注入的原理分析,圖2(a)中曲線2為某測量電路所用放大器的理想特性曲線,由于其存在輸入失調,實際的特性曲線為圖2(a)中曲線1,較之于理想特性曲線向上偏移100 mV。若需要采樣的波形如圖2(b),(c)中曲線1與曲線2分別表示為理想輸出波形與考慮輸入失調后的實際輸出波形,測量元器件的輸入失調造成采樣得到的正弦波整體上移。

圖2:測量元器件偏移型直流分量的產生
光伏并網算法的采樣電路中放大器存在輸入失調,如圖2(b)中所示。本文結合無差拍控制算法,對偏移型直流注入進行仿真分析,定量的研究了元器件輸出失調產生的直流分量。搭建并網額定電流為16 A基于無差拍控制的逆變器,主要研究測量并網電流與電網電壓的元器件失調大小對直流分量注入的影響。實際設計測量電路時,測量電流與電壓的元器件往往采用一個公司的產品,這里假設測量電流與電壓的電路具有同樣的輸出失調。得到的測量結果如表2所示。
2.2 偏移型直流分量抑制的方法
2.2.1 無差拍控制原理
光伏發電容易受到外界環境如光照、溫度等影響,要求逆變并網電流控制技術具有良好的動態響應性能。無差拍控制是一種數字化的控制方法,其優勢就在于良好的動態性能,控制過程無過沖,具有非常快的暫態響應。
圖3為無差拍電流控制原理圖,DC為光伏電池輸出經過BOOST 升壓電路得到的直流電壓,其值約為380 V。VT1~VT4組成全橋逆變器完成將光伏電池輸出的能量傳送到電網的任務。L 和C 組成一個濾波器,主要用于濾除由于開關管高頻通斷而產生的諧波電流的注入,R 為線路的等效電阻。由于電網電壓在一定范圍內穩定,控制逆變器輸出的電流與電網電壓同相位,即其功率因素為1,即能完成最大效率的輸送。

圖3:無差拍電流控制原理圖
2.2.2 偏移型直流分量抑制算法
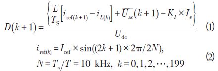
無差拍控制的思路是根據當前采樣周期電路的狀態來預測下一周期開關器件的占空比,從而產生PWM波控制開關管的通斷,為了解決由于測量元器件的零點漂移所帶來的偏移型直流注入問題,如式(1)所示在電流控制環節加入一個電流補償KI×Iε,每個正弦波周期對注入的直流分量進行抑制,直到Iε =0 達到穩定狀態,實驗證明該方法簡單有效,具有很好的暫態響應和穩態響應:


圖4:一個周期內的電流波形
假設圖4為一個周期內濾波電感電流的理想波形,周期為T,每周期采樣次數為N,該直流抑制算法只需要對稱提取靠近峰值附近大約20個點(N=200時),如圖4中灰線條所框起來的部分:iε =iL(i) +iL(i +1) +…+iL(i +20) +iL(N -i -20) +…+iL(N -i) (3
)
如果iL(i)中不含直流分量,由圖4 可知:iL(i) =-iL(N -i -20) ,iL(i +1) =-iL(N -i -19)…iL(i +20) =-iL(N -i) 帶入式(3)即得iε =0 。當iL(t) 中含有直流分量idc 時,iε≠ 0 ,其值的大小代表iL(t)中含直流分量的多少,iε(t)的值越大說明所含直流分量的值也越大。在無差拍電流控制環中,將iε(t)乘上一個比例系數KI作為一個負反饋補償。KI的大小與電路結構有著密切的關系,需要根據實際情況恰當的選擇KI,以實現快速且穩定的直流抑制。
2.2.3 仿真分析
為了驗證理論分析和直流抑制控制方法的有效性,在Matlab/Simulink 環境下進行時域仿真,圖5為時域仿真搭建的電路模型。

圖5:基于無差拍直流抑制控制方法仿真時域模型
直流母線電壓為380 V,系統開關頻率設置為10 kHz,濾波電感40 mH,濾波電容850 μF,并網電流幅值為設置為20 A。為了讓仿真效果更明顯,這里假設電流與電壓測量電路存在5%的輸出失調,并網電流波形仿真效果如圖6所示。
圖6:并網電流波形
圖6中初始時刻并網電流存在一定量的直流電流,經過閉環補償環節不斷調節,在0.15 s時刻后,直流分量得到充分抑制。為了更直觀地分析并網電流直流分量的變化情況,這里用Simulink/Fourier模塊對并網電流波形進行傅里葉分析,提取其直流分量,如圖7所示。分析可知0.15 s 后直流分量僅有0.02 A,為額定電流的0.12%。直流分量逐步被抑制,調節速度快且穩態響應好。
圖7:抑制后并網電流FFT分析提取直流分量
圖8為并網電壓與電流的仿真波形,可以看出基于無差拍控制算法下所補償的直流抑制環節達到了很好的效果,且不影響無差拍控制本身良好的動態性能和穩定性

圖8:并網電壓與電流波形




