中心議題:
- 正激有源鉗位變換器的工作原理
- 靜態分析和優化設計方法
解決方案:
- 儲能電容電壓及開關管承受的電壓應力
- 增加勵磁電流實現零電壓軟開關工作條件
- 應用磁飽和電感實現軟開關工作的條件
- 優化設計方法
1 引言
單端正激變換器拓撲以其結構簡單、工作可靠、成本低廉而被廣泛應用于獨立的離線式中小功率電源設計中。在計算機、通訊、工業控制、儀器儀表、醫療設備等領域,這類電源具有廣闊的市場需求。當今,節能和環保已成為全球對耗能設備的基本要求。所以,供電單元的效率和電磁兼容性自然成為開關電源的兩項重要指標。而傳統的單端正激拓撲,由于其磁特性工作在第一象限,并且是硬開關工作模式,決定了該電路存在一些固有的缺陷:變壓器體積大,損耗大;開關器件電壓應力高,開關損耗大;dv/dt和di/dt大,emi問題難以處理。
為了克服這些缺陷,提出了有源鉗位正激變換器拓撲,從根本上改變了單端正激變換器的運行特性,并且能夠實現零電壓軟開關工作模式,從而大量地減少了開關器件和變壓器的功耗,降低了dv/dt和di/dt,改善了電磁兼容性。因此,有源鉗位正激變換器拓撲迅速獲得了廣泛的應用。
然而,有源鉗位正激變換器并非完美無缺,零電壓軟開關特性也并非總能實現。因而,在工業應用中,對該電路進行優化設計顯得尤為重要。本文針對有源鉗位正激變換器拓撲,進行了詳細的理論分析,指出了該電路的局限性,并給出了一種優化設計方法。
2 正激有源鉗位變換器的工作原理
如圖1所示,有源鉗位正激變換器拓撲與傳統的單端正激變換器拓撲基本相同,只是增加了輔助開關sa(帶反并二極管)和儲能電容cs,以及諧振電容cds1、cds2,且略去了傳統正激變換器的磁恢復電路。磁飽和電感ls用來實現零電壓軟開關,硬開關模式用短路線替代。開關s和sa工作在互補狀態。為了防止開關s和sa共態導通,兩開關的驅動信號間留有一定的死區時間。下面就其硬開關工作模式和零電壓軟開關工作模式分別進行討論。為了方便分析,假設:

1)儲能電容cs之容量足夠大以至于其上的電壓vcs可視為常數;
2)輸出濾波電感lo足夠大以至于其中的電流紋波可忽略不計;
3)變壓器可等效成一個勵磁電感lm和一個匝比為n的理想變壓器并聯,并且初次級漏感可忽略不計;
4)所有半導體器件為理想器件。
[page]
2.1有源鉗位正激變換器硬開關工作模式
硬開關的有源鉗位正激變換器工作狀態可分為6個工作區間,關鍵工作波形如圖2(a)所示。


[t0~t1]期間主開關s導通,輔助開關sa斷開。變壓器初級線圈受到輸入電壓vin的作用,勵磁電流線性增加,次級整流管導通并向負載輸出功率。t1時刻,主開關s斷開。
[t1~t2]期間負載折算到變壓器初級的電流io*和勵磁電流im給電容cds1充電和cds2放電,電壓vds1迅速上升。t2時刻,vds1上升到vin,變壓器輸出電壓為零,負載電流從整流管d3轉移到續流管d4。
[t2~t3]期間只有勵磁電流im通過lm、cds1、cds2繼續諧振,并在t3時刻vds1達到(vin+vcs)。輔助開關sa的反并二極管d2導通,勵磁電流給電容cs充電并線性減小,此時,可驅動輔助開關sa。
[t3~t4]期間變壓器初級線圈受到反向電壓vcs的作用,勵磁電流由正變負。t4時刻,sa斷開。
[t4~t5]期間電容cds1、cds2與lm發生諧振,并在t5時刻電壓vds1下降到vin,變壓器磁芯完成磁恢復。
[t5~t0′]期間次級整流管導通,變壓器次級繞組短路,給勵磁電流提供了通道。在此期間,vds1維持在vin,勵磁電流保持在-im(max)。t0′時刻,主開關s被驅動導通,下一個開關周期開始。
很明顯,有源鉗位正激變換器的變壓器磁芯工作在一、三象限,變換器工作占空比可超過50%。由于電容cds1、cds2的存在,開關s和sa均能自然零電壓關斷,而且sa能實現零電壓導通。但主開關管s工作在硬開關狀態。
[page]
2.2有源鉗位正激變換器零電壓軟開關模式
從上面的分析可明顯地看出,當變壓器勵磁電感lm減小,勵磁電流足夠大時,[t5~t0′]期間勵磁電流除了能提供負載電流外,剩余部分可用來幫助電容cds2、cds1充放電。電壓vds1有可能諧振到零,從而實現主功率開關管s的零電壓軟開通。二極管d1可為負的勵磁電流續流。關鍵工作波形如圖2(b)所示,具體的軟開關條件將在下一節中詳細討論。很顯然,軟開關的代價是變壓器勵磁電流和開關管導通電流峰值大幅增加,開關管及變壓器電流應力和通態損耗明顯加大。
2.3應用磁飽合電感器實現零電壓軟開關
為了克服上述零電壓軟開關工作時電流應力過大的缺點??梢栽谧儔浩鞔渭壵鞫O管上串聯一個磁飽和電感ls,如圖1所示。當電壓vds1下降到vin時,[t5~t0′]期間磁飽和電感ls瞬時阻斷整流二極管,使得變壓器勵磁電流不必負擔負載電流,而可完全用來給電容cds2、cds1充放電。這樣,不必大量減小變壓器勵磁電感,較小的勵磁電流就可以保證電壓vds1諧振到零,實現主功率開關管的零電壓軟開通。關鍵工作波形如圖2(c)所示。
3 靜態分析和優化設計方法
3.1儲能電容電壓及開關管承受的電壓應力
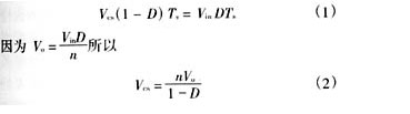
根據磁芯伏-秒平衡原則,可得式(1)

式中:vin為輸入直流電壓;vo為輸出電壓;d為主開關導通占空比;ts為開關周期;n為變壓器匝比。
因此,主開關s和輔助開關sa承受的最大電壓應力均為vds:
![]()
上式說明,當變壓器匝比愈小時,對于一定的輸入電壓和輸出電壓的變換器,開關管電壓應力vds愈小。所以,有源鉗位正激變換器一個顯著優點是可以降低開關管電壓應力,從而可選用額定電壓較低、通態電阻較小的功率開關管。另外,當變壓器變比n確定后,開關管電壓應力僅與占空比有關,如圖3所示。顯然,當占空比為0.5時,開關管承受最小的電壓應力。當輸入電壓變化時,如果將占空比設計運行在以0.5為中心的對稱范圍內,則可使開關管承受的電壓應力基本保持恒定。

3.2增加勵磁電流實現零電壓軟開關工作條件
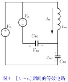
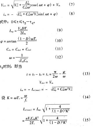
從開關sa斷開到電壓vds1諧振至零的過程,即工作區間[t4~t5]和[t5~t0′]。要實現主開關s零電壓軟開通,其導通驅動延遲時間必須大于以上兩區間之和。

[page]
[t4~t5]期間等效電路如圖4所示。相應的電路微分方程是:

微分方程的解為:


[page]

3.3應用磁飽和電感實現軟開關工作的條件
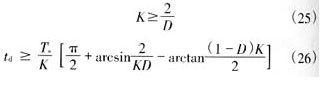
當輔助開關sa斷開后,由于磁飽和電感ls瞬間相當于開路,因此變壓器勵磁電流可完全用來對cds2和cds1充放電。[t4~t5]、[t5~t0′]期間,等效電路同圖4。顯然,令式(21)和(24)中io*或io為零,即可得到主開關管零電壓導通的能量條件和時間條件,im(max)≥cdsωvin,即:

死區延遲時間,意味著pwm變換器有效占空比的損失。為了盡量減小有效占空比的損失,則k必須加大。另一方面,變換器開關頻率fs愈高,則為保持相同的有效占空比,k至少應保持不變,即諧振頻率ω應與開關頻率fs成比例增加。圖6給出了軟開關所需要的死區時間td和最大勵磁電流im(max)與k的關系曲線。從圖中明顯看出,采用加大勵磁電流的方法實現零電壓軟開關和采用磁飽和電感器比較,要求的k較大,因而有較大的勵磁電流損耗;另外,從式(15)看出,開關頻率愈高,電流峰值也愈高,變壓器的銅耗和開關管的導通損耗也愈大。因此,軟開關有源鉗位正激變換器工作頻率不宜太高。

[page]
3.4優化設計方法
對一給定技術指標的dc/dc變換器,其具體參數為:輸入電壓范圍vin(min)~vin(max),輸出電壓vo,輸出功率po,開關頻率fs。設計步驟如下:
1)根據輸出功率po、開關頻率fs選定變壓器磁芯材料,得到相應的磁芯截面積ae,飽和磁密bs,窗口面積aw等。設定最大交變磁密δb。
2)確定最大電壓應力vds及降額系數k1。
3)據式(27)、(28)求出變壓器匝比n和最大、最小占空比dmax、dmin,及正常占空比dnorm。

5)求出開關管電壓應力vds,選定主開關s和輔助開關sa的額定電壓及確定諧振電容cds1和cds2。
6)設定死區延遲時間td,針對不同的軟開關實現方法,分別從式(21)、(24)或(25)、(26)求出所需的系數k。
7)根據式(14)和(12)求出諧振頻率ω及變壓器初級勵磁電感量lm。
4 設計實例和實驗結果
應用上述設計方法,設計1臺用于通訊設備的ac/dc變換器電源。具體技術指標為:
輸入電壓viac140v~280v
輸出電壓vodc12v
輸出功率po150w
功率因數λ>0.95
效率η>0.80
采用常規的boost變換器進行功率因數校正,滿足功率因數大于0.95的指標要求,且得到dc440v的直流電壓??紤]到電源保持時間要求,設定有源鉗位dc/dc變換器輸入電壓工作范圍為dc330~450v,開關頻率為100khz,即ts=10μs,vinmax=450v,vinmin=330v,vinnorm=440v。為提高效率,有源鉗位dc/dc變換器采用了同步整流技術,設計結果如下:
1)選擇磁芯材料為tdk,pc40,eer40,ae=1.49cm2,bs=450mt,取δb=300mt。
2)設定開關管最大電壓應力為900v,降額系數k1為0.9。
3)求出變壓器匝比n,最大、最小占空比dmax、dmin,及正常占空比dnorm
考慮整流管壓降和輸出電感損耗,取vo為13v,據式(27)、(28)求出:n≤15,取n=13.3。則:dmax=0.524,dmin=0.384,dnorm=0.393。
4)據式(29)、(30)求出變壓器初次級匝數n1,n2分別為40匝和3匝。
5)據式(3),求出當占空比為0.384時,開關管承受最大的電壓應力731v。s和sa可選900v之功率場效應管。等效漏源并聯電容cds1為330pf,cds2為200pf,所以cds為530pf。
6)設定死區時間td為350ns,采用磁飽和電感方法實現軟開關。則據式(26)求出k為15.4。
7)據式(14)和(12)求出諧振頻率ω為1.54mhz,變壓器勵磁電感lm為800μh。
[page]
圖7(a)、7(b)、7(c)給出了實測的主開關管工作電壓、電流波形。圖7(a)顯示主開關管工作在硬開關狀態。圖7(b)和圖7(c)分別是采用增加勵磁電流方法和應用磁飽和電感器方法實現零電壓軟開關的電壓電流波形,后者明顯地降低了勵磁電流和開關管電流的峰值。實測波形與理論分析完全一致。圖8、9顯示出了實測的效率曲線。從圖9中看出,當變換器開關頻率增加時,變壓器勵磁電流損耗和開關管通態損耗所占比重增加,變換器效率降低了。實驗結果驗證了理論分析。



5 結語
有源鉗位正激拓撲非常適合中小功率的dc/dc變換器電源設計。零電壓軟開關條件是變壓器勵磁電感和諧振電容的諧振頻率必須足夠大,并且有足夠的勵磁電流儲能。其代價是變壓器勵磁電流損耗和功率開關管通態損耗加大,并隨工作頻率提高而加劇。因此該變換器拓撲工作頻率受到限制。采用磁飽和電感可以改善電流應力過大的缺點。本文給出了有源鉗位正激變換器的理論分析和設計方法。一臺應用于通訊設備,寬范圍輸入電壓的150w電源被設計出來,實驗結果證實了理論分析。




