- 熱量表的流量自動標定系統的設計
- 系統設計
- 采用鉑電阻PT1000溫度傳感器測量水溫
- 單片機軟件的設計
- 上位機軟件采用MFC的編程方法
引言
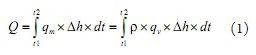
集中供熱分戶計量方式是一種節能環保的供暖計量體系。根據中國國家發改委于08年8月份發布的《城市供熱價格管理暫行辦法》的規劃,我國的供熱計量方式將逐步由按面積計費方式過度到分戶計費方式。熱量表是實現供熱分戶計費的重要手段,它通過測量流體的流速與進回水的溫差實現對用戶實際供熱量的計量。其計算公式如下:

式中,Q表示熱量表釋放或吸收的熱量,qm表示流經熱量表的水的質量流量,qv表示流經熱量表的水的體積流量,ρ表示水的密度,△h表示水的焓值差,焓值等于溫度與定壓比熱容的乘積,t表示時間。通過式(1)可以看出熱量表的流量測量精度是重要指標,直接影響供熱計量的準確性,因此每只熱量表在出廠前均需要按規定進行流量標定。目前國內多數熱量表生產廠家熱量表標定裝置的流速調節裝置采用手動方式,操作復雜,流量修正系數的寫入需要人工操作,易出現人為失誤。計量局的熱量表標準檢定裝置采用整體檢定的方法,該方法精度高,但檢測成本高且效率較低,不適合作為生產設備,多用于熱量表的定型檢定。為提高熱量表標定的自動化程度與標定效率,設計了一種熱量表的流量自動標定系統,采用MSP430F149單片機實現對系統標定過程的自動控制,采用高精度和低成本的稱重法得到系統中流體標準流量,可同時對多達12只熱量表進行自動標定。
系統設計
整個標定系統是一個閉環測試系統,標定用的流體可以循環利用以節約成本。如圖1所示,系統由計算機、以MSP430F149為主控芯片的控制單元、電子秤、流量調節閥、恒溫水箱、穩壓罐、儲水罐、電磁閥、水泵等組成。待標定的熱量表串聯在同一直管路中,通過光電收發接口與控制單元進行數據交換,實現批量熱量表的自動檢測與修正系數的自動寫入。可程控的流量調節閥用于流量的自動控制。電子秤與儲水罐用于稱量計算標準流量,恒溫水箱、水泵及穩壓罐用于提供標定用的流體。為貼近熱量表的現場工作條件,恒溫水槽控制標定用的流體溫度在50℃左右,同時,為管道增加了相應保溫措施以減少循環管道的散熱。

[page]
該標定系統的標準流量是由電子秤稱重來確定的,因此電子秤量程范圍既要滿足最小流量時的稱量又要滿足最大流量時的稱量,其測量精度直接影響到熱量表的精度。因為是循環系統,容器體積為最大流量點所需要流體體積的2倍,恒溫水箱體積是最大流量點所需要流體體積的3倍即可滿足要求。為保證流經熱量表的流體流態穩定,待檢定的熱量表上游段的直管段應滿足5倍管徑以上,下游段的直管段應滿足3倍管徑以上。串聯熱量表個數不宜過多,太多不但占地面積大,而且會使整個循環管路中壓差過大影響標定結果,本系統中最多串聯12塊熱量表。水泵運行過程中循環管道流體常有脈動現象,這將對熱量表的流量計量引入誤差,系統設計時在水泵的后端加裝穩壓罐避免脈動沖擊。此外,循環管路設計時配置一段透明管道便于操作者觀察流體是否有氣泡,若排氣過程中觀察到已無氣泡,可人工提前停止排氣;若標定過程中發現有氣泡現象,可以通過停止按鈕結束本次測試重新進行標定。對熱量表流量的自動標定過程由控制單元和上位機軟件配合完成。
系統控制單元
本系統的控制單元框圖如圖2所示,主要由鍵盤電路、溫控電路、電磁閥控制電路、光電收發接口電路、通信接口電路、聲光指示電路組成。采用MSP430F149單片機為控制核心,外接6MHz晶振。
控制單元內部單片機的供電為3.3V,其他芯片和模擬器件的供電在3V到10V之間。控制單元的電源輸入是由外部開關電源提供的。在生產現場,開關電源與水泵電機共用一路交流電,水泵在運行過程中會引起開關電源的輸出波動,若不采取防浪涌措施勢必會影響到單片機的正常工作。根據上述分析設計系統電源模塊如圖3所示。電感L1起防浪涌保護作用;輸入電壓經開關電源芯片MC34063后輸出12V電壓,然后通過兩個NCP1117ST33穩壓芯片產生兩路3.3V電源分別給單片機和光電接收電路供電。

系統軟件
單片機軟件的設計
系統上電以后首先進行單片機初始化設置,主要包括定時器、串口通信模塊和基本輸入輸出口的工作模式選擇與相關變量的初始化,初始化完畢后通過串行通信接口讀取上位機傳輸的流量點個數、流量點流速與測試時間數據并將其保存至外部存儲器中,以便系統脫離上位機啟動,數據存儲完畢后控制單元首先測試待檢測熱量表的通信是否正常,若有沒通信不上的熱量表控制單元將詳細信息上傳至上位機,并由用戶決定標定工作是否繼續。整個標定過程完成以后控制單元將不同流量點的流量修正系數與系統時間寫入相應熱量表,然后上傳至上位機。上位機判斷熱量表是否合格并將標定的詳細信息顯示于工作界面。
由于光電接口在強光下通信會出現異常現象,為了避免死鎖現象做了如下處理:控制單元在標定過程中一旦發現通信有問題的熱量表,立即通知上位機,通過人機界面詢問用戶是否繼續測試,若用戶選擇繼續測試,控制單元將不再讀取有問題的熱量表。
[page]
上位機軟件
上位機軟件采用MFC(微軟的基礎類庫)的編程方法,充分利用了面向對象技術的優點,MFC類庫中各種對象的強大功能足以完成程序中大部分所需要的功能。軟件操作界面如圖5所示。通過界面中的設置選項可以設定標定的流量點個數、流量點流速和不同流量點的具體標定時間。
用戶用上位機啟動標定過程后,上位機軟件通過RS-232接口將標定信息傳輸給控制單元,控制單元負責標定過程的自動控制,標定完畢再通過RS232接口將數據上傳至上位機。
系統運行結果與分析
采用本系統對大連瑞工微電子公司生產的熱量表進行了標定。根據中華人民共和國國家計量檢定規程規定,檢定的5個流量點q1-q5的選擇應為:
qmin≤q1≤1.1qmin,0.1qp≤q2≤0.11qp,0.3qp≤q3≤0.31qp,0.9qp≤q4≤1.0qp,0.9qmax≤q5≤1.0qmax,其中qmin為熱量表流量測量下限,qp為熱量表標稱流量,qmax為熱量表流量測量上限。表1為本系統在大連瑞工微電子生產現場隨機抽取的10塊熱量表的標定結果。根據國家計量檢定規程規定,III級熱量表的精度為3%。現場標定中,取相鄰流量點修正系數超過3%視為不合格。熱量表3在流量點4和5的修正系數不滿足要求,熱量表6在流量點1和2的修正系數不滿足要求,其余熱量表均合格。
為了驗證本系統的標定結果,將這10塊熱量表送至大連市計量局進行了檢定,結果如表2所示。對比表1和表2可以看出,用本系統對熱量表的標定結果與計量局熱量表標準檢定裝置的檢定結果完全吻合。
結語
鑒于傳統的熱量表標定裝置大都為手動系統,操作繁瑣,標定時間長,且容易引入人為失誤的現象,設計了一套熱量表流量自動標定系統。系統在整個標定過程中無需人為干涉自動完成,標定時間短,只需30分鐘左右,流量修正系數與相關信息的寫入也是自動完成,避免了不必要的人為失誤。
該系統目前已成功應用于大連瑞工微電子公司,經1年多的生產驗證,該熱量表流量自動標定系統檢測結果與國家標準計量單位的檢測結果完全一致。該系統具備效率高、成本低、節能、安全可靠、操作方便、維護簡單等優點。它的開發滿足了熱量表生產廠家對產品進行批量自動標定的需要,能極大的提高勞動生產率。


