- 額定功率基準和基本定義
- 額定功率參數的擴展
- 額定功率測試設備
- 將PVDD電壓(MOSFET電壓)設置為各器件數據資料中所規定的工作電壓典型值
- 用AP產生一個0dBFS的1kHz連續正弦波
- 負載阻抗取各數據資料中規定的典型值
- 調制器增益設置為0dB
- 用電壓探頭捕獲輸出電壓的波形
關于音頻放大器額定功率的定義,目前已有多種標準。美國聯邦貿易委員會(FTC)針對家庭音頻放大器額定功率建立了公平合理的廣告國際慣例,詳情請參見FTC文檔63FR37233,16CFR,Chapter1,Part432的描述。另一個標準為美國電子工業協會(EIA)制定的SE-101-A。在汽車音頻領域,一些制造商則采用消費電子協會的CEA-2006-A標準,該標準定義了如何對放大器功率以及信號失真進行測試。
如何區分額定功率參數定義的優劣呢?對于一個好的額定功率參數來說,其所有規定參考點都應該是可測量的。
歐姆定律表明了電壓、電流以及負載之間的關系,V=I×R,其中V為電壓;I為電流,單位為安培;R為負載電阻,單位為歐姆。
功率是單位時間內所做的功,表達式為:
P=V×I=V2/R=I2×R。
對于音頻信號,其電壓采用Vrms(均方根)表示,計算功率時,通常采用1000Hz的基準頻率,負載采用阻性負載,因此計算得到的功率為放大器所能承受的平均功率。
FFC的標準更加嚴格,要求放大器須采用頻率為1000Hz的正弦波作為輸入信號,先以1/8總額定輸出功率,預熱1小時(多輸出系統,所有通道都處于開啟狀態),然后在周圍環境空氣溫度不低于25℃、持續時間大于5分鐘的條件下,讓其工作在最大額定功率下,觀測輸入為20Hz至20000Hz的音頻信號時兩通道的功率頻譜。
還有一些制造商則采用額定平均功率,但是在將原始輸入信號放大到一定值時,會產生削波,從而導致較高的失真率。THD+N為10%時,其額定平均功率要比THD+N為1%時大的多。TI公司PurePathDigital功率級器件數據資料中給出了未出現削波和出現削波兩種情況下測得的額定功率值。
1.2額定功率參數的擴展
PMPO表示峰值音樂輸出功率或峰值瞬時性能輸出,這兩種名稱可以相互替換,含義也基本相同。PMPO沒有明確定義測量標準,PMPO額定功率測量無參考點,通常不能用于高保真音頻的性能測試。實際上,制造商提供的PMPO通常是理論上的數值。AB類音頻放大器的電源與數字音頻放大器的電源存在較大差別。對于AB類音頻功率放大器而言,由于模擬元件的物理特性,其PMPO要比數字音頻放大器的高的多。AB類音頻放大器啟動時,電源往往會產生瞬時高壓,從而導致較大的電源毛刺。通常所說的PMPO就是基于這一瞬時啟動電壓定義的。由于客戶總是期望音頻放大器兼具較高的額定功率和較低的價格,因此PMPO也成為一個非常好的賣點。
利用峰值電壓可計算出額定峰值功率。額定峰值功率有時指音樂功率。音樂功率是當輸入動態范圍大的音樂信號時,音頻功率放大器對音樂信號的瞬間最大輸出功率。
[page]
如果音頻放大器的動態余量規定為3dB,則放大器的峰值功率為平均功率的2倍。例如,如果放大器的額定平均功率為200W,峰值功率為400W。某些高端音頻放大器由于采用性能良好的電源,因此其動態余量較低,能對任意動態輸入音樂信號提供較高且幾乎相等的輸出功率。
下面介紹兩種額定功率的定義,分別為峰值功率和瞬時峰值功率。為了促進某些放大器產品在特定市場或領域的推廣,要求額定功率大于標準均方根功率,這時可用峰值功率和瞬時峰值功率來表示PMPO。相對于更側重理論定義的PMPO,這兩種額定功率在實際硬件上都是可測量的。下面以TexasInstruments公司的3款功率級器件TAS5142、TAS5152和TAS5186為例來闡述用于攻略測量的測試設備連接、測試過程。
2測試設備
采用的儀器如下:
AudioPrecisionTM的TwoTM-2322音頻測試系統(AP);
實驗室電源-HP6024A、HPE3610A、HPE3616A以及SorensenDLM60-10;
示波器-TektronixTDS784A;
電流探頭-TektronixTCP202;
電壓探頭-TektronixP6139A;
負載-額定功率為200W的DALE各種阻值的電阻;
參考設計電路板-DAVREF635和DAVREF636。
測試設備連接框圖如圖1所示,并按以下步驟連接;

將電源連接至參考設計電路板;
將阻性負載連接至被測功率級器件的輸出端;
將電流探頭連接至被測功率級器件的輸出端;
將電壓探頭連接至被測功率級器件的輸出端;
將AP連接至被測功率級器件的輸出端。
3功率測試
3.1RMS功率
測試步驟如下:
1)將PVDD電壓(MOSFET電壓)設置為各器件數據資料中所規定的工作電壓典型值。
2)用AP產生一個0dBFS的1kHz連續正弦波。
3)負載阻抗取各數據資料中規定的典型值。
4)調制器增益設置為0dB。
5)用電流探頭捕獲輸出電流的波形。
6)用電壓探頭捕獲輸出電壓的波形。
討論:
根據引言部分給出的功率公式可計算出平均功率:
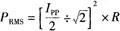
采用示波器捕獲的電壓或電流曲線中的參數(參見表1),可以得出:
其中,IPP為電流峰值,R為負載阻抗。
注意:上述公式適用于0dB(正常)輸入,不適用于發生削波(THS+N為10%)時的情況。
在相同的測試條件下,計算結果與采用AP捕獲的功率測量值相關。在給定的負載阻抗下,AP利用高精度儀表可以捕獲Vrms值,然后用APWin-dowsTM軟件將處理而得的功率值繪制成圖形。[page]

TexasInstruments還提供具有數字增益控制功能的RMS功率測量方式,使THD+N≤10%。利用TI公司的TAS5508或TAS5086型調制器,可以實現數字增益。THD+N為10%時的平均功率要高于正常FTC的THD+N<1%時的額定功率。表2列出了THD+N為10%時的平均功率。

3.2峰值功率
測試步驟如下:
1)將PVDD電壓(MOSFET電壓)設置為各器件數據資料中所規定的工作電壓典型值。
2)用AP產生一個0dBFS的連續1kHz正弦波。
3)負載阻抗取各器件數據資料中規定的典型值。
4)調制器增益設置為0dB。
5)用電流探頭捕獲輸出電流的波形。
6)用電壓探頭捕獲輸出電壓的波形。
測量負載阻抗上的最大電流或最大電壓,算出峰值功率。根據功率計算公式,又可推導出以下的峰值功率計算公式:
采用示波器捕獲的電壓或電流曲線中的參數(參見表3):
其中,IPP為峰峰電流,R為負載電阻。需要說明的是TI在數據資料中未公布PurePathDigital功率級器件的峰值功率。

3.3瞬時峰值功率
測試步驟:
1)將PVDD電壓(MOSFET電壓)設置為各器件數據資料中所規定的工作電壓典型值,例如:TAS5142=34V;TAS5152=37V;TAS5186=39V。
2)用AP產生0dBFS的1kHz正弦波。
3)阻性負載取不同的阻值,并按照以下步驟確定器件關斷之前的最低負載值。
4)在器件自身不發生關斷之前,把器件的數字增益設置到最大,該步驟與上一步驟一起執行。調節增益直到示波器捕獲一個完整的正弦波。
5)用電流探頭捕獲電阻上的峰峰值電流波形。
6)用電壓探頭捕獲峰峰值電壓波形。
同樣在TI的數據資料中也沒有給出PurePathDigital功率級器件的瞬時峰值功率??梢钥闯?,瞬時峰值功率無任何標準。瞬時峰值功率主要取決于系統和測試裝置架構。
TexasInstruments(TI)的PurePathDigital音頻器件性能卓越。TI一直為提高產品的標準和集成度而努力,其中包括為用戶提供全面的支持文檔如數據資料、應用筆記等等。在測試TI功率級器件時采用正確的工程技術,可以獲得精確的測量結果。資料中提供的音頻性能是通過AP測試設備采集的。所獲得的性能參數(包括額定功率)都是可通過TI評估板追溯和再次驗證的。所有功率級器件數據資料中的額定功率都指的是能連續提供的平均功率。
FTC規定了美國市場產品的額定功率,其他國家不受此要求限制。因此,TI客戶可以為其產品自由選擇顧客接受的額定功率。


