【導讀】在很多高速串行信號中,都會使用到AC耦合電容,既然在設計高速串行電路時,任何一個小小的不同都會引起信號完整性問題,為什么要在串行鏈路中加入一個AC耦合電容呢?這個電容不僅會導致信號邊沿變得緩慢,還有可能會引起阻抗不連續。
編者注:其實現在很多工程師在設計時,都是按照總線規范或者芯片手冊的推薦值使用。如果都是這樣,本文權且當作大家的拓展閱讀。
在很多高速串行信號中,都會使用到AC耦合電容,既然在設計高速串行電路時,任何一個小小的不同都會引起信號完整性問題,為什么要在串行鏈路中加入一個AC耦合電容呢?這個電容不僅會導致信號邊沿變得緩慢,還有可能會引起阻抗不連續。

當我們連接有不同的供電電壓的兩個系統時或者是熱插拔時,可能就會需要用到AC耦合電容了,首先我們要了解的是這里我們使用AC電容的目的是為了使兩級之間更好的通信,既然是串在了兩個系統之間,那通信的信號必然是交流的信號。AC耦合電容還可以提供直流偏壓和過流的保護。

在中間加個AC電容有什么好處呢?
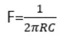
主要就是改善了噪聲容限。我們有時候可能在選擇電容時會選擇小電容,覺得這樣可能會將直流成分濾的更干凈,但是這樣會導致信號變形并且引起基線漂移。如果選擇較大的電容,電容端的電壓穩定的時間需要的比較長,原來一個小小的電容要求有這么多,那我們應該如何來選擇這個電容呢?首先要看電容的頻率、溫度等特性并且選擇低ESR/ESL的電容。對于電容值的選擇是要通過計算來選的,如下所示:

這里的F是截止頻率(定義電壓為輸入電壓的0.707倍時的頻率),R是傳輸線的阻抗,C是AC耦合電容。
當然在選擇電容時,其通帶的最小頻率要比傳輸信號的最小頻率要小才好,假設信號的最小頻率為Fmin,則頻率值為F:
F=Fmin/20
當取值為F時,99.88%的信號均會通過。
前面介紹了,雖然AC耦合電容有其好處,也會導致邊沿變緩慢,放置AC耦合電容時,會引起阻抗的變化,就存在一個阻抗不連續點。同時,也會引入碼型相關抖動,即當電路傳輸的信號中出現連續的“1”或“0”時,會出現下圖所示的直流電平壓降,這就會影響眼高。

如何才能減小這個直流壓降降低呢?
這和RC時間常數有關,RC值越大(充電時間越長,單位時間電容充電少,分壓小),能通過的直流分量就越多直流壓降越小。由于鏈路中等效電阻是相對固定的,只能調節耦合電容值了。如下圖所示電容值越大,壓降越小。

曲線說明:紫色的電容值最大,紅色的電容值次之,粉色的電容值最小。
那我們就把電容無限加大吧!
答案是:No,不行!因為,實際安裝后的電容不是理想電容,除了ESR,ESL,還有安裝電感,所以就存在一個串聯諧振頻率。電容在串聯諧振頻率之前呈容性,之后呈感性。如下圖所示:

電容值越大,諧振頻率越小,電容在較低頻率就會呈現感性,這樣會造成信號高頻分量衰減增大,同樣會使眼高減小,上升沿變緩,jitter增加。
所以選擇AC耦合電容時要綜合以上兩點考量,一般業界都推薦0.01uF~0.2uF,最常見的就是0.1uF的電容。對于電容封裝的選擇不建議使用大于0603的封裝,最好是0402的,或者更小。
(作者:蔣修國)
免責聲明:本文為轉載文章,轉載此文目的在于傳遞更多信息,版權歸原作者所有。本文所用視頻、圖片、文字如涉及作品版權問題,請聯系小編進行處理。
推薦閱讀:




