【導讀】電池供電電機控制方案為設計人員帶來多項挑戰,例如,優化印刷電路板熱性能目前仍是一項棘手且耗時的工作;現在,應用設計人員可以用現代電熱模擬器輕松縮短上市時間。
大功率電池供電設備逆變器板如何助力熱優化
電池供電電機控制方案為設計人員帶來多項挑戰,例如,優化印刷電路板熱性能目前仍是一項棘手且耗時的工作;現在,應用設計人員可以用現代電熱模擬器輕松縮短上市時間。
如今,電池供電電機驅動解決方案通常可以用非常低的工作電壓提供數百瓦的功率。在這些應用中,為確保整個系統的能效和可靠性,必須正確管理電機驅動設備的電流 。事實上,電機電流可能會超過數十安培,導致逆變器內部耗散功率提高。給逆變器元器件施加較高的功率將會導致逆變器工作溫度升高,性能下降,如果超過最大允許額定功率,甚至會突然停止工作。優化熱性能同時縮減尺寸,是逆變器設計過程中的重要一環,如果處理不當,可能會埋下隱患。
用現場驗證方法連續改進原型生產可以解決這個問題,但是,電熱評估是完全分開的兩個過程,并且在設計過程中從未考慮電-熱耦合效應,因為這會導致多次重復設計,延長產品上市時間。目前電熱評估有一種更有效的替代方法,就是利用現代模擬技術優化電機控制系統的電熱性能。Cadence? Celsius? Thermal Solver溫度模擬器是行業領先的用于系統分析的電熱協同仿真軟件,可在短短幾分鐘內從電熱兩個角度全面準確地評估設計性能。作為世界領先的工業電機控制集成電路制造商,意法半導體用Celsius? 軟件改進了EVALSTDRIVE101 評估板的熱性能,開發出一個輸出電流高達 15 Arms的三相無刷電機逆變器,為終端應用設計人員開發逆變器提供了一個參考。在本文中,我們借此機會講解如何減少熱優化工作量,同時讓EVALSTDRIVE101 達到生產級解決方案。
EVALSTDRIVE101
EVALSTDRIVE101 基于75 V三半橋柵極驅動器STDRIVE101和六個連成三個半橋的STL110N10F7 功率 MOSFET開關管。STDRIVE101采用4x4 毫米四方扁平無引腳 (QFN)封裝,集成安全保護功能,非常適合電池供電解決方案。Celsius? 顯著簡化了 EVALSTDRIVE101的熱電性能優化過程,能夠在短時間內實現尺寸緊湊的可靠設計。下面所示的模擬結果用于反復調整元器件的位置,改進板層和跡線的形狀,調整板層厚度,增加或移除通孔,最終得到一個生產級逆變器解決方案。優化后,EVALSTDRIVE101是一塊覆銅厚度2 oz的四層PCB板,寬 11.4 厘米,高 9 厘米,使用 36 V 電池電壓向負載提供高達 15 Arms 電流。
從熱角度來看,EVALSTDRIVE101最關鍵的地方是功率級區域,其中包括功率MOSFET開關管、檢流電阻、旁路陶瓷電容、大容量電解電容和輸出端口。這部分的布局被大幅縮小,僅占整個電路板尺寸的一半,即 50 cm2。在這里,MOSFET 的放置和布線經過特別慎重考慮,因為在工作期間,逆變器大部分功率損耗都是由這些開關管造成的。所有MOSFET漏極端子的覆銅面積在頂層最大,在其它層盡可能做同樣大或更大,以改善向底層表面導熱的熱傳輸效率。通過這種方式,電路板的正面和背面都有助于空氣自然對流和熱輻射。直徑 0.5 毫米的通孔負責不同層之間的電連接和熱傳輸,促進空氣流動并改善冷卻效果。通孔網格位于 MOSFET 裸露焊盤的正下方,但通孔直徑減小到 0.3 毫米,以防止焊膏在孔中回流。
功耗估算
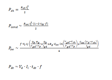
EVALSTDRIVE101的熱優化過程是從評估逆變器運行期間的耗散功率開始的,逆變器是溫度模擬器的一個輸入端。逆變器損耗分為兩類:在電路板跡線內因焦耳效應產生的功率損耗和電子元件造成的功率損耗。雖然Celsius? 可以通過直接導入電路板布局數據精確計算電流密度和電路板損耗,但是,還必須考慮電子元件引起的損耗。雖然電路模擬器可以提供非常準確的結果,但我們還是決定用簡化的公式算出合理的功率損耗,提出近似值。事實上,制造商可能無法獲得元器件的電氣模型,而且,因為缺乏建模數據,難以或無法從頭開始建模,而我們提供的公式僅需要產品數據手冊的基本信息。排除次生現象,引起逆變器耗散功耗的主要原因是檢流電阻器 P_sh 和 MOSFET內部的功率損耗。這些損耗包括:導通損耗P_cond、開關損耗P_sw和二極管壓降損耗P_dt:



每個 MOSFET 的估算耗散功率為1.303 W,每個檢流電阻器的估算耗散功率為 0.281 W。
熱模擬
Celsius?可以讓設計人員做熱模擬實驗,包括系統電氣分析,顯示走線和通孔的電流密度和電壓降。這些模擬試驗要求設計人員必須在系統中使用電路模型,定義相關電流環路。圖1所示是EVALSTDRIVE101的每個半橋所用的電路模型。模型包括位于輸出和電源輸入之間的兩個恒流發生器和三個旁通 MOSFET 和檢流電阻器的短路。這兩個電流環路與整個電源軌和接地層的實際平均電流非常接近,而輸出路徑電流略微高一點,便于評估設計韌性。圖 2 和圖 3 顯示了電流為 15 Arms的EVALSTDRIVE101 的電壓降和電流密度。對地參考電壓的壓


降突出了這個板子的布局經過特別優化,沒有瓶頸,并且 U、V 和 W 的輸出端在 43 mV、39 mV 和 34 mV 時電壓降非常均衡。U輸出端的壓降最大,而W輸出端的壓降是三者中最低的,因為W端口到電源連接器的路徑長度較短。電流在各個路徑中分布均衡,平均密度低于 15 A/mm2,這是走線尺寸的功率推薦值。在 MOSFET、分流電阻器和連接器附近的一些區域是紅色的,這代表電流密度較高,因為這些元器件的端子比下面的電源跡線小。不過,最大電流密度遠低于 50 A/mm2 的限制,在實際應用中不會導致可靠性問題發生。
模擬器使設計人員能夠安裝運行穩態模擬或瞬態模擬測試。穩態模擬提供一個板層和組件的2D溫度圖,而瞬態模擬則提供每個模擬時刻的溫度圖和升溫曲線,但模擬時間更長。穩態模擬工具可以用于瞬態模擬,但還需要另外為組件定義耗散功率函數。瞬態模擬適用于為電源不是同時工作的系統定義工作狀態和評估達到穩態溫度所需的時間。
EVALSTDRIVE101的模擬實驗條件是 28 °C 環境溫度,以傳熱系數作為邊界條件,器件分析采用雙電阻熱模型代替 Delphi 等詳細熱模型,可以直接從元器件數據手冊中獲得模型,不過會略微犧牲模擬精度。圖 4 所示是EVALSTDRIVE101 的穩態模擬結果,圖 5 是瞬態模擬結果。瞬態模擬使用了階躍功率函數,以零時間啟用所有 MOSEFT 和檢流電阻器。模擬結果確定 U 半橋區域是電路板上最熱的區域。 Q1 MOSFET(高邊)溫度為 94.06 °C,緊隨其后的是 Q4 MOSFET(低邊)、R24 和 R23 檢流電阻器,分別為 93.99 °C、85.34 °C 和 85.58 °C。

熱表征實驗裝置
EVALSTDRIVE101 熱性能實驗表征是在組裝好的電路板上做的。為了方便實驗,沒有用連接到制動臺的電機,而是考慮使用一個等效的測試臺,如圖 6 所示。EVALSTDRIVE101 連接到控制板,生成所需的驅動信號,并放置在有機玻璃箱內,以獲得空氣對流冷卻,避免意外的空氣對流。在盒子上方放置了一臺熱成像攝像機(日本航空電子公司的 TVS-200 型),通過盒蓋上的一個孔,將電路板全部收入拍攝框內。電路板輸出端連接一個三相負載,驅動系統使用36 V電源。負載是由三個連成星形結構的線圈組成,以模擬真實的電機工作特性。每個線圈都是 30 A 的飽和電流、300 μH 的電感和 25 mΩ 的寄生電阻。低寄生電阻大大降低了在線圈內部的焦耳熱效應,有利于電路板和負載之間的功率無損傳輸。通過控制板施加適當的正弦電壓,在線圈內部產生三個15 Arms 的正弦電流。使用這種方法,功率級工作環境非常接近電機驅動實際應用的工作條件下,優點是不需要任何控制回路。

功率損耗測量
功率級每個器件的耗散功率的數據準確性無疑是影響模擬結果的一個因素。MOSFET 和檢流電阻的數據是使用簡化公式計算得來,因此提出了近似值。測量電路板,以評估耗散功率的量化誤差。電路板的功率損耗 Ploss的測量值是輸入功率 P_in與三個輸出端P_out^U, P_out^V, P_out^W 供給負載的輸出功率的差值。使用示波器(Teledyne LeCroy 的 HDO6104-MS 型)測量,并在波形中使用適當的數學函數:首先,逐點計算每個測量點的電壓和電流的乘積;然后,計算在一個整數正弦周期數內的平均功率。下表列出了在環境溫度下的測量數據和功率級達到穩態條件時的高溫測量結果,還給出了前面用公式估算的電路板耗散功率。

結果表明,測量值和估算值之間非常接近,與提出的近似值一致。在室溫時,公式高估測量值1.5%,在高溫條件,低估測量值大約 3.9%。這個結果與 MOSFET導通電阻和檢流電阻的可變性一致,因為在計算中使用的是標稱值。由于線圈電阻和 MOSFET 電阻隨溫度升高而增加,高溫功率值都比室溫功率值高,符合預期。數據還顯示三個輸出的測量功率存在差異。這種現象是因為三相負載不均衡造成的,因為每個線圈的 L 和 R 值略有不同。然而,這種影響起到的作用微不足道,因為觀察到的差值低于測量和估算之間的差值。
溫度結果
在負載內產生正弦電流和熱像儀采集拍照是同步的。紅外熱像儀設為每 15 秒拍攝一次熱圖像,每次拍照都包含元器件 Q1、Q4 和 R23 的三個溫度標記。系統保持工作狀態,直到大約 25 分鐘后達到穩態條件為止。在測試結束時檢測到箱內環境溫度約為 28°C。圖 7 顯示了來自溫度標記的電路板升溫瞬變,圖 8 顯示了電路板上的最終溫度。測量結果表明,Q1 MOSFET 是整個電路板中最熱的元器件,溫度為 93.8°C,而 Q4 MOSFET 和 R23 電阻分別達到了 91.7°C 和 82.6°C。根據前文的Celsius? 模擬結果,Q1 MOSFET是 94.06°C ,Q4 MOSFET 是93.99°C,R23是85.58°C,與測量結果非常接近。直接比較圖 5 與圖 7不難發現,散熱瞬態時間常數也是高達一致。

總結
意法半導體最近發布了利用 Cadence?Celsius? Thermal Solver溫度模擬器開發的EVALSTDRIVE101 評估板。該板電路板可以驅動電池供電設備的高功率低電壓三相無刷電機。這塊板子包括一個 50 cm2 的緊湊的功率級,無需散熱器或增裝冷卻設備即可向電機提供超過 15 Arms 的電流。使用溫度模擬器內部的不同模擬功能,不僅可以預測電路板的溫度分布及功率級組件的熱點,還可以詳細描述電源跡線的電壓降和電流密度,而這很難或者根本不可能通過實驗測量獲得。在從設計初期到最終定案的整個開發過程中,模擬結果可以讓開發者快速優化電路板布局,調整元器件位置,改進布局缺陷。紅外熱像儀熱表征測試表明,穩態溫度以及瞬態溫度曲線的模擬值和測量值之間具有良好的一致性,證明電路板具有出色的性能,溫度模擬器可有效地幫助設計人員降低設計裕度,加快產品上市。
(來源:意法半導體,作者: P. Lombardi, D. Cucchi, E. Poli Cadence: S. Djordjevic, M. Biehl, M. Roshandell)
免責聲明:本文為轉載文章,轉載此文目的在于傳遞更多信息,版權歸原作者所有。本文所用視頻、圖片、文字如涉及作品版權問題,請電話或者郵箱editor@52solution.com聯系小編進行侵刪。
推薦閱讀:




