【導讀】以下介紹電流互感器的作用、工作特點及其接地方式的區別。電流互感器的作用是:將一次回路大電流變為二次回路標準的小電流(5A或1A),從而使測量儀表和保護裝置標準化,小型化,并使其結構輕巧,價格便宜,便于屏內安裝;并可采用小截面電纜進行遠距離測量。

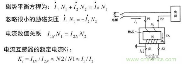
電力系統中廣泛采用的是電磁式電流互感器,它的工作原理和變壓器相似。電流互感器的原理接線如圖:

電流互感器的工作特點:
1、一次側電流:一次繞組串聯在所測量的一次回路中,并且匝數很少。因此,一次繞組中的電流I完全取決于被測回路的負荷電流,而與二次繞組電流大小無關。
2、二次側電流:二次繞組中的匝數N2很多,是一次繞組匝數的若干倍。二次繞組的電流完全取決于一次繞組電流。
3、電流互感器的二次回路中所串接的負載,是測量儀表和繼電器的電流線圈。它們的阻抗都小,因此電流互感器在正常工作時,二次側接近于短路狀態,這是與普通電力變壓器的主要區別。
當一次側流過電流I1時,在鐵芯中產生交變磁通,此磁通穿過二次繞組,產生電動勢,在二次回路中產生電流I2。

電流互感器在正常工作狀態時,二次負荷電流I2所產生的二次磁勢對一次磁勢F1有去磁作用,因此合成磁勢F0及鐵芯中的合成磁通數值都不大。
電流互感器在正常工作時,二次繞組絕對不允許開路。
如果運行中的電流互感器二次繞組開路,則二次磁勢等于零,而一次磁勢不變,且全部用于激磁。此時合成磁勢Fo等于F1,比正常狀態的合成磁勢增大了許多倍,使鐵芯中的磁通急劇增加而達到飽和狀態。
鐵芯飽和,使隨時間變化的磁通波形變為平頂波。在波形上升和下降處,因磁通急劇變化在二次繞組內所感應的電勢可達幾千伏甚至更高,對設備和人員是極其危險的。

磁感應強度驟增,會引起鐵芯和繞組過熱。在鐵芯中會產生剩磁,使互感器準確級變低。
電流互感器二次回路必須接地(只能是一點接地),其目的是為了防止當一、二次之間絕緣被破壞時,對二次設備與人身造成危害,所以一般宜在配電裝置處經端子接地。
電流互感器一次回路不能接地,電流互感器的一次回路就是被測線路的主回路,電流互感器的一次側是不能接地的,否則會造成嚴重的短路事故。
一次側,二次側是什么?
針對暖通空調系統,簡單說:一次側二次側分別都有兩個不同溫度。一共四個不同溫度。通過物質間進行熱傳遞。一次側是提供換熱的介質。二次側是用戶需要用到的介質。





