【導讀】運算放大器被廣泛用于各種電子電路中。它們用于小電壓的放大,以進一步執行信號處理。煙霧探測器、光電二極管跨阻放大器、醫療器械,甚至工業控制系統等應用都需要盡可能低的運算放大器輸入電容,因為這會影響噪聲增益(Noise Gain),進而影響系統的穩定性,特別是具有高頻率和高增益的系統。
在測量運算放大器輸入電容時,應關注哪些方面?
必須確保測量精度不受PCB或測試裝置的雜散電容和電感影響。您可以通過使用低電容探頭、在PCB上使用短連接線,并且避免在信號走線下大面積鋪地來盡可能規避這些問題。
運算放大器被廣泛用于各種電子電路中。它們用于小電壓的放大,以進一步執行信號處理。煙霧探測器、光電二極管跨阻放大器、醫療器械,甚至工業控制系統等應用都需要盡可能低的運算放大器輸入電容,因為這會影響噪聲增益(Noise Gain),進而影響系統的穩定性,特別是具有高頻率和高增益的系統。
為了盡可能提高相應電路的精度,我們需要知道運算放大器的輸入電容的大小。但是,數據手冊中通常不提供這一信息,所以需要單獨確定。這可能很困難,因為在許多情況下,輸入電容都只有幾pF。
表1列出了幾個不同的運算放大器示例,及其各自的輸入電容值。

表1.不同的運算放大器及其輸入電容值
如何確定輸入電容
圖1顯示了確定運算放大器輸入電容的一種簡單方法,即增加一個電阻,與運算放大器輸入串聯(RSERIES)。這會形成一階低通濾波器,其頻率響應可由網絡分析儀進行記錄。我們可以根據頻率響應計算出輸入電容。電阻RSERIES一般在10 kΩ至100 kΩ之間。

圖1.在運算放大器輸入端增加串聯電阻之后,可以測量運算放大器的輸入電容。
在記錄頻率響應時,必須確保測量精度不受PCB或測試設備的雜散電容和雜散電感影響。
為提高測量分辨率,應盡可能降低雜散電容。建議使用低電容(<1 pF) FET探頭。
PCB對地電容應盡可能低,這可以通過確保信號走線和串聯電阻下方沒有接地層來實現。
此外,應使用盡可能短的線路和(電阻)引線,以規避額外的誤差源,例如串聯電感和寄生電感。
圖2顯示一種可能的測試配置,其中包含網絡分析儀和功率分配器。

圖2.用于確定運算放大器輸入電容的測試設置。
功率分配器負責分割信號。信號1:1原樣饋送至網絡分析儀的輸入端,在通過插入的低通濾波器之后,到達運算放大器的輸入端。然后,網絡分析儀根據這兩個信號之間的差值產生頻率響應。
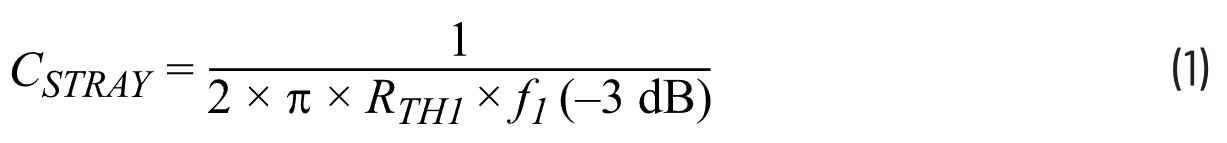
要進行測量,需要確定雜散電容CSTRAY。首先,對沒有安裝運算放大器的電路板應用該信號進行測量。根據得到的波特圖,使用公式1計算CSTRAY:

f1(–3 dB)是使用網絡分析儀,在不帶運算放大器時測量得出的–3 dB轉角頻率,RTH1與插入的串聯電阻(RSERIES)、輸入端接電阻(50 Ω)和功率分配器(Thévenin同等產品)的50 Ω源阻抗成函數關系:

然后,將運算放大器安裝到PCB上。
由于PCB的雜散電容與運算放大器的輸入電容并聯,所以在公式1中加入CIN,如公式3所示:

其中,f2(–3 dB)是使用網絡分析儀,在帶有運算放大器時測量得出的–3 dB轉角頻率,RTH2與插入的串聯電阻、輸入端接電阻(50 Ω)、功率分配器的輸出電阻(50 Ω),以及運算放大器(RCM)的共模輸入阻抗成函數關系:

一般來說,對于具有CMOS輸入的運算放大器,RSERIES << RCM。所以,RTH2 ≈ RTH1,公式3可以改寫成公式5:

然后,可以使用公式1和公式5確定運算放大器的輸入電容。
結論
運算放大器的輸入電容是很難測量的。它通常只有幾pF,并且測試設置中的寄生效應會扭曲測量結果。我們可以使用小型測試裝置,以及由網絡分析儀和功率分配器構成的適用測量設備輕松確定輸入電容:首先,確定雜散電容(測試設置中的誤差電容),然后,通過頻率響應確定運算放大器電路的組合電容(誤差電容和輸入電容)。根據上述公式,可以計算運算放大器的實際輸入電容。
文章來源:ADI
免責聲明:本文為轉載文章,轉載此文目的在于傳遞更多信息,版權歸原作者所有。本文所用視頻、圖片、文字如涉及作品版權問題,請聯系小編進行處理。
推薦閱讀:
【車內消費類接口測試】泰克助力MIPI總線技術的測試與多場景應用
低成本變頻技術賦能洗碗機 BLDC電機能效提升30%的解決方案
破局者登場!中國芯企"逆向突圍"造90%性能怪獸,ARM斷供反成催化劑?





