【導讀】在雷達或無線電接收器中,敏感型低噪聲放大器 (LNA) 在承受較大的輸入信號時必定會發生損壞。那么,需要怎樣的解決方案?
在雷達或無線電接收器中,敏感型低噪聲放大器 (LNA) 在承受較大的輸入信號時必定會發生損壞。那么,需要怎樣的解決方案?
我們可以利用接收器保護裝置限幅器 (RPL) 電路來保護敏感元件。RPL電路的“心臟”通常由PIN二極管組成,能夠保護元件免受大輸入信號的影響,同時不會對小信號操作造成不利影響。
RPL電路的運行無需外部控制信號。此類電路包含至少一個與信號路徑并聯的PIN二極管,以及一個或多個無源元件,例如RF扼流圈電感和直流隔離電容。以下是一個簡單的(但可能是完整的)RPL電路。

當沒有RF輸入信號或僅存在有RF小信號時,限幅器PIN二極管的阻抗特性會達到最大值,通常為幾百歐姆或以上。因此,二極管產生非常小的阻抗失配,相應地,可帶來低插入損耗。
當出現大輸入信號時,RF電壓迫使電荷載流子(P層的空穴和N層的電子)進入PIN二極管的I層。進入I層后,自由電荷載流子會降低其RF電阻,從RPL電路的RF端口角度來看,這產生了阻抗失配。
這種失配會導致來自輸入信號的能量被反射至對應的信號源。反射信號與入射信號配合,在PIN二極管產生一個電壓最小的駐波,因為反射信號在傳輸線上暫時呈現最低阻抗。傳輸線上的每個最小電壓都有一個對應的最大電流。最大電流流經PIN二極管,導致二極管I層中的自由電荷載流子量增加,從而產生更低串聯電阻、更大阻抗失配以及“更小”的最小電壓。最后,二極管的電阻將達到最小值——該值取決于PIN二極管的設計和RF信號的幅值。RF信號幅值增大時,迫使二極管達到充分導通狀態,從而進一步降低二極管的電阻,直到二極管飽和并產生盡可能的最小電阻。由此得到輸出功率與輸入功率的對比曲線,如下所示。

當RF大信號不再出現,如果I層中的自由電荷載流子量較大,二極管的電阻則會保持在較低水平(此時插入損耗仍然較大)。在RF大信號中斷后,可以通過兩種機制來減少自由電荷載流子量: (1) 在I層外進行電荷傳導 (2) 在I層內進行電荷重組。
電荷傳導的幅值主要由二極管外部電流通路中的直流電阻決定。
電荷重組的速率則由多個因素決定,包括I層中自由電荷載流子的密度、I層中摻雜原子的濃度和其他電荷俘獲點,等等。考慮到二極管的必要參數,PIN二極管可安全處理的RF信號越大,其恢復到低插入損耗所需的時間就越長。
因此,PIN二極管I層的特性決定了RPL電路的性能。I層的厚度(有時稱為寬度)則決定了二極管達到極限時的輸入功率:I層越厚,輸入參照1dB壓縮級別(也稱為閾值級別)就越高。I層的厚度、二極管結的面積和二極管的制造材料決定了二極管的電阻、電容以及熱阻。
只需一個PIN二極管、一個RF扼流圈電感器和一對直流隔離電容,即可實現最簡單的PIN RPL電路。RF扼流圈電感器對RPL電路的性能至關重要,其主要功能是使PIN二極管的直流電流通路變得完整。當大信號迫使電荷載流子進入二極管的I層時,會在二極管中產生直流電流。如果沒有為直流電流提供完整路徑,則不能降低二極管的電阻,二極管也不會達到極限。直流電流將沿著整流電流的方向流動,但這不是由整流產生的。
在RPL電路中安裝扼流圈電感是一件極具挑戰性的事,因為電感是RPL電路中最不理想的元件。基于電感值和寄生繞組間電容的原因,所有電感都具有串聯和并聯諧振。因此必須十分小心,確保在工作頻帶內不發生串聯諧振。此外,必須盡量把扼流圈的直流電阻降到最低,以縮短RPL電路的恢復時間。
注:直流隔離電容是可選的。只有當輸入或輸出傳輸線上出現可能使PIN二極管偏置的直流電壓或電流時,才需要使用直流隔離電容。
實例
假設低噪聲放大器 (LNA) 可以承受的最大輸入功率為15dBm,則要求RPL電路中PIN二極管的I層厚度約為2微米。設計人員可根據RF信號頻率和小信號插入損耗的可接受最大值來確定PIN二極管的可接受電容。如果設計師假設RPL電路在X波段工作,并且可接受的最大插入損耗為0.5dB,則可以計算出二極管的最大電容。
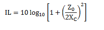
可根據以下公式得出并聯電容的插入損耗 (IL)(以分貝為單位):

我們可根據公式求解C值:

當f = 12GHz、IL = 0.5dB且Z0 = 50?時,C = 0.185pF。
得出的電容值與I層厚度共同決定了二極管結的面積。
如果I層較薄并且結面積較小,二極管就會具有相對較高的熱阻,這樣一來,只好迫使結溫超過其最大額定值175°C,才能耗散更多能量。通常來說,電容為0.185pF的2微米二極管可以安全處理約為30-33dBm的大CW輸入信號。由于電流流經二極管電阻時會產生焦耳熱,大信號可能會損壞或即時燒毀二極管。
PIN二極管RPL電路能夠為雷達或無線電接收器中的LNA等敏感元件提供可靠的保護,保護其不受較大入射信號的影響。當RPL應用需要極低的穩態泄漏輸出功率和較高的輸入功率處理能力時,可以在RPL電路的輸入側增加額外的二極管級和其他電路增強元件。
如果你正在為RPL應用選擇最合適的二極管和電路拓撲,MACOM應用工程團隊在這里隨時為你提供幫助和意見。




