【導讀】控制器局域網(CAN)串行總線拓撲結構可使設備和微控制器在不采用主機的情況下相互通信。它無需仲裁即可進行傳輸,可在每個設備節點上放置一個控制器和一個主處理器,省去了設備與主機互連時必需的復雜線纜。
通過使用CANH和CANL線纜上的信號,CAN總線有被動和主動兩種狀態。差分電壓大于0.9 V時,總線為主動狀態,小于0.5 V時則為被動狀態。CAN收發器(如ADM3051)可將CAN控制器連接至物理層總線。

圖1.CAN總線信號和狀態
圖1.CAN總線信號和狀態 AD8138 高速差分放大器。維持峰-峰電平時,輸出端的直流電平轉換器使輸出信號的差分電平能夠得到調整。幅度和頻率通過信號發生器調整。

圖2.用AD8138驅動CAN收發器
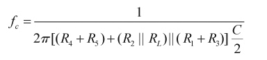
該電路采用5 V單電源供電,配置為單位增益單端轉差分放大器,共模設置為中間電壓值。R1、R2和R3組成了直流偏置電路,可將輸出信號調節至CAN電平。通過將R4和R5保持在相對于R2的較小值,電位計可輕松調整兩個輸出信號之間的差值,不會顯著影響其各自的幅度,能夠向DUT提供具有可變共模電平的CAN信號。由于R1和R3相等,輸出端的交流共模也不會在調整R2時受到影響。R4、R5和R2共同組成了AD8138放大器輸出端分壓器的一部分。R4和R5盡可能選用最小值,以便最大程度地減小輸出衰減,以及最大程度的降低每個輸出端的峰-峰電平在調節R2時受到的影響。若R2短接,R4和R5也能提供最小負載,以保護放大器輸出。電容C1和C2可以將直流偏置和放大器的共模輸出相隔離。這些電容還與電阻偏置網絡一同構成了高通濾波器,其截止頻率為:

其中 C = C1 = C2, RL為負載或DUT輸入阻抗,通常為20 kΩ至30 kΩ。
為了避免方波輸出信號失真,應選用盡可能大的C1 和C2 使輸入信號頻率達到10倍的最差截止頻率,其中R2||RL為最小值。例如,假設不存在輸出(DUT)負載效應,為使VCANH和VCANL信號達到圖3(a)所示的電平,R2必須達到700 Ω的最小值。0.1 µF或1 µF的耦合電容可處理1 MHz的信號。圖3(b)顯示了R2調整差分輸出電平的過程。
將這些輸出信號用做收發器的VCANH和VCANL輸入后,可以通過測量平臺表征接收器參數,如所需頻率下的傳播延遲、上升時間和閾值。

圖3.VCANH和VCANL輸出
推薦閱讀:





