【導讀】LLC半橋諧振電路中,根據這個諧振電容的不同聯結方式,典型LLC諧振電路有兩種連接方式,如下圖1所示。不同之處在于LLC諧振腔的連接,左圖采用單諧振電容(Cr),其輸入電流紋波和電流有效值較高,但布線簡單,成本相對較低;右圖采用分體諧振電容(C1, C2),其輸入電流紋波和電流有效值較低,C1和C2上分別只流過一半的有效值電流,且電容量僅為左圖單諧振電容的一半。
LLC技術已經普及了,再不會就要落后啦!
LLC半橋諧振電路中,根據這個諧振電容的不同聯結方式,典型LLC諧振電路有兩種連接方式,如下圖1所示。不同之處在于LLC諧振腔的連接,左圖采用單諧振電容(Cr),其輸入電流紋波和電流有效值較高,但布線簡單,成本相對較低;右圖采用分體諧振電容(C1, C2),其輸入電流紋波和電流有效值較低,C1和C2上分別只流過一半的有效值電流,且電容量僅為左圖單諧振電容的一半。

LLC半橋諧振電路基本原理
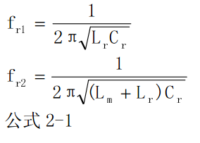
LLC諧振變換的直流特性分為零電壓工作區和零電流工作區。這種變換有兩
個諧振頻率。一個是Lr 和Cr的諧振點,另外一個諧振點由Lm, Cr以及負載條
件決定。負載加重,諧振頻率將會升高。這兩個諧振點的計算公式如下:

考慮到盡可能提高效率,設計電路時需把工作頻率設定在fr1附近。其中,fr1為Cr,Lr串聯諧振腔的諧振頻率。當輸入電壓下降時,可以通過降低工作頻
率獲得較大的增益。通過選擇合適的諧振參數,可以讓LLC諧振變換無論是負載變化或是輸入電壓變化都能工作在零電壓工作區。
總體來說LLC半橋諧振電路的開關動作和半橋電路無異,但是由于諧振腔的加入,LLC半橋諧振電路中的上下MOSFET工作情況大不一樣,它能實現MOSFET零電壓開通。其工作波形圖如下:

上圖為理想半橋諧振電路工作波形圖;圖中,Vgs1 和 Vgs2 分別是 Q1、Q2
的驅動波形,Ir為諧振電感Lr電感電流波形,Im為變壓器漏感Lm電流波形,Id1和Id2分別是次級側輸出整流二級管波形,Ids1則為Q1導通電流。波形圖根據不同工作狀態被分成6個階段,下面具體分析各個狀態,LLC諧振電路工作情況:
T0~ T1: Q1關斷、Q2開通;這個時候諧振電感上的電流為負,方向流向Q2。在此階段,變壓器漏感不參加諧振, Cr、Lr組成了諧振頻率,輸出能量來自于Cr和Lr。這個階段隨著Q2關斷而結束。下圖3為LLC半橋諧振電路在T0~ T1工作階段各個元器件工作狀態。

T1~ T2:Q1關斷、Q2關斷;此時為半橋電路死區時間,諧振電感上的電流仍為負,諧振電流對Q1的輸出電容(Coss)進行放電,并且對Q2的輸出電容(Coss)進行充電,直到Q2的輸出電容的電壓等于輸入電壓(Vin),為Q1下次導統創造零電壓開通的條件。由于Q1體二級管此是出于正向偏置,而Q2的體二級管示反相偏置,兩個電感上的電流相等。輸出電壓比變壓器二次側電壓高,D1、D2處于反偏狀態,所以輸出端與變壓器脫離。此階段,Lm和Lr、Cr一同參加諧振。隨著Q1開通,T1~ T2階段結束。下圖4為LLC半橋諧振電路在T1~ T2工作階段各個元器件工作狀態。

T2~ T3: Q1開通、Q2關斷(一旦Q1的輸出電容被放電放到零時)。此時諧振電感上的電流仍舊為負,電流經Q1的體二級管流回輸入端(Vin)。同時,輸出整流二級管(D1)導通,為輸出端提供能量。變壓器漏感(Lm)在此階段被持續充電。只有Lr和Cr參與諧振。一旦諧振電感Lr上的電流為零時,T2~ T3階段結束。下圖5為LLC半橋諧振電路在T2~ T3工作階段各個元器件工作狀態。

T3~ T4:此階段始于諧振電感Lr電流變負為正,Q1開通、Q2關斷,和T2~ T3階段一樣。諧振電感電流開始從輸入端經Q1流向地。變壓器漏感Lm此時被此電流充電,因此參加諧振的器件只有Lr 和Cr。輸出端仍由D1來傳輸能量。隨著Q1關斷,T3~ T4階段結束。下圖2-6為LLC半橋諧振電路在T3~ T4工作階段各個元器件工作狀態。

T4~ T5: Q1關斷,Q2關斷;此時為半橋電路死區時間。此時,諧振電感電流對Q1的輸出電容Coss進行充電,并對Q2的輸出電容Coss進行放電直到Q2上輸出電容電壓為零,導通Q2的體二級管,為Q2零電壓開通創造條件。在此期間,變壓器二次側跟T1~ T2階段一樣,脫離初級側。在死去時間,變壓器漏感Lm參與諧振。此階段隨著Q2開通而結束。下圖7為LLC半橋諧振電路在T4~ T5工作階段各個元器件工作狀態。

T5~ T6: Q1關斷,Q2導通。由于T4~ T5階段中Q2的輸出電容已經被放電至零,因此T5~ T6階段Q2以零電壓開通。能量由諧振電感Lr經Q2續流,輸出端由D2提供能量。此時,Lm不參與Lr和Cr的諧振。此階段隨著諧振電感Lr電流變為零而結束,重復T0~ T1狀態。下圖8為LLC半橋諧振電路在T5~ T6工作階段各個元器件工作狀態。

由以上工作狀態可以看出,除了Q1、Q2死區時間外,絕大多數時間,電路都可以工作在由Lr和Cr構成的較高的諧振頻率。這種情況下,變壓器漏電感由于被輸出電壓所鉗位,因此,它會作為Lr,Cr串聯諧振腔的負載形式存在,而不參與整個諧振過程。由于這個被動負載,LLC諧振變換輕載穩壓可以不再需要很高頻率。而且,由于這個被動Lm負載,可以保證在任何負載情況下都能工作在零電壓開關狀態下。
推薦閱讀:



