【導讀】在具有電阻、電感和電容的電路里,對電路中的電流所起的阻礙作用叫做阻抗。阻抗常用Z表示,是一個復數,實部稱為電阻,虛部稱為電抗,其中電容在電路中對交流電所起的阻礙作用稱為容抗 ,電感在電路中對交流電所起的阻礙作用稱為感抗,電容和電感在電路中對交流電引起的阻礙作用總稱為電抗。 阻抗的單位是歐姆。阻抗的概念不僅存在與電路中,在力學的振動系統中也有涉及。
在計算阻抗之前,我想很有必要理解這兒阻抗的意義
傳輸線阻抗的由來以及意義
傳輸線阻抗是從電報方程推導出來(具體可以查詢微波理論)
如下圖,其為平行雙導線的分布參數等效電路:

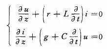
從此圖可以推導出電報方程

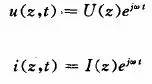
取傳輸線上的電壓電流的正弦形式

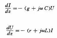
得

推出通解
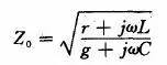
定義出特性阻抗
無耗線下r=0, g=0 得
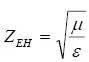
注意,此特性阻抗和波阻抗的概念上的差異(具體查看平面波的波阻抗定義)
特性阻抗與波阻抗之間關系可從
此關系式推出。
Ok,理解特性阻抗理論上是怎么回事情,看看實際上的意義,當電壓電流在傳輸線傳播的時候,如果特性阻抗不一致所求出的電報方程的解不一致,就造成所謂 的反射現象等等。在信號完整性領域里,比如反射,串擾,電源平面切割等問題都可以歸類為阻抗不連續問題,因此匹配的重要性在此展現出來。
疊層(stackup)的定義
我們來看如下一種stackup,主板常用的8 層板(4 層power/ground 以及4 層走線層,sggssggs,分別定義為L1, L2…L8)因此要計算的阻抗為L1,L4,L5,L8
下面熟悉下在疊層里面的一些基本概念,和廠家打交道經常會使用的Oz 的概念
Oz 本來是重量的單位Oz(盎司 )=28.3 g(克)
在疊層里面是這么定義的,在一平方英尺的面積上鋪一盎司的銅的厚度為1Oz,對應的單位如下
介電常數(DK)的概念
電容器極板間有電介質存在時的電容量Cx 與同樣形狀和尺寸的真空電容量Co之比為介電常數:
ε = Cx/Co = ε‘-ε“
Prepreg/Core 的概念
pp 是種介質材料,由玻璃纖維和環氧樹脂組成,core 其實也是pp 類型介質,只不過他兩面都覆有銅箔,而pp 沒有。
傳輸線特性阻抗的計算
首先,我們來看下傳輸線的基本類型,在計算阻抗的時候通常有如下類型: 微帶線和帶狀線,對于他們的區分,最簡單的理解是,微帶線只有1 個參考地,而帶狀線有2個參考地,如下圖所示
對照上面常用的8 層主板,只有top 和bottom 走線層才是微帶線類型,其他的走線層都是帶狀線類型。
在計算傳輸線特性阻抗的時候, 主板阻抗要求基本上是:單線阻抗要求55 或者60Ohm,差分線阻抗要求是70~110Ohm,厚度要求一般是1~2mm,根據板厚要求來分層得到各厚度高度。
在此假設板厚為1.6mm,也就是63mil 左右, 單端阻抗要求60Ohm,差分阻抗要求100Ohm,我們假設以如下的疊層來走線
先來計算微帶線的特性阻抗,由于top 層和bottom 層對稱,只需要計算top 層阻抗就好的,采用polar si6000,對應的計算圖形如下:
在計算的時候注意的是:
1,你所需要的是通過走線阻抗要求來計算出線寬W(目標)
2,各廠家的制程能力不一致,因此計算方法不一樣,需要和廠家進行確認
3,表層采用coated microstrip 計算的原因是,廠家會有覆綠漆,因而沒用surface microstrip 計算,但是也有廠家采用surface microstrip 來計算的,它是經過校準的
4,w1 和w2 不一樣的原因在于pcb 板制造過程中是從上到下而腐蝕,因此腐蝕出來有梯形的感覺(當然不完全是)
5,在此沒計算出精確的60Ohm 阻抗,原因是實際制程的時候廠家會稍微改變參數,沒必要那么精確,在1,2ohm 范圍之內我是覺得沒問題
6,h/t 參數對應你可以參照疊層來看
再計算出L5 的特性阻抗如下圖
記得當初有各版本對于stripline 還有symmetrical stripline 的計算圖,實際上的差異從字面來理解就是symmetrical stripline 其實是offset stripline 的特例H1=H2
在計算差分阻抗的時候和上面計算類似,除所需要的通過走線阻抗要求來計算出線寬的目標除線寬還有線距,在此不列出。
選用的圖是

在計算差分阻抗注意的是:
在滿足DDR2 clock 85Ohm~1394 110Ohm 差分阻抗的同時又滿足其單端阻抗,因此我通常選擇的是先滿足差分阻抗(很多是電流模式取電壓的)再考慮單端阻抗(通常板廠是不考慮的,實際做很多板子,問 題確實不算大,看樣子差分線還是走線同層同via 同間距要求一定要符合)。(作者:heroedit@hotmail.com)
推薦閱讀:




