【導讀】電容(或稱電容量)是表現電容器容納電荷本領的物理量。電容從物理學上講,它是一種靜態電荷存儲介質,可能電荷會永久存在,這是它的特征,它的用途較廣,它是電子、電力領域中不可缺少的電子元件。主要用于電源濾波、信號濾波、信號耦合、諧振、濾波、補償、充放電、儲能、隔直流等電路中。
一、電容的基本原理
電容,和電感、電阻一起,是電子學三大基本無源器件;電容的功能就是以電場能的形式儲存電能量。
以平行板電容器為例,簡單介紹下電容的基本原理

如上圖所示,在兩塊距離較近、相互平行的金屬平板上(平板之間為電介質)加載一個直流電壓;穩定后,與電壓正極相連的金屬平板將呈現一定量的正電荷,而與電壓負極相連的金屬平板將呈現相等量的負電荷;這樣,兩個金屬平板之間就會形成一個靜電場,所以電容是以電場能的形式儲存電能量,儲存的電荷量為Q。
電容儲存的電荷量Q與電壓U和自身屬性(也就是電容值C)有關,也就是Q=U*C。根據理論推導,平行板電容器的電容公式如下:

理想電容內部是介質(Dielectric),沒有自由電荷,不可能產生電荷移動也就是電流,那么理想電容是如何通交流的呢?
通交流
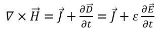
電壓可以在電容內部形成一個電場,而交流電壓就會產生交變電場。根據麥克斯韋方程組中的全電流定律:

即電流或變化的電場都可以產生磁場,麥克斯韋將ε(∂E/∂t)定義為位移電流,是一個等效電流,代表著電場的變化。(這里電流代表電流密度,即J)
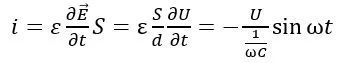
設交流電壓為正弦變化,即:
實際位移電流等于電流密度乘以面積:

所以電容的容抗為1/ωC,頻率很高時,電容容抗會很小,也就是通高頻。
下圖是利用ANSYS HFSS仿真的平行板電容器內部的電磁場的變化。
橫截面電場變化(GIF動圖,貌似要點擊查看)

縱斷面磁場變化(GIF動圖,貌似要點擊查看)

也就是說電容在通交流的時候,內部的電場和磁場在相互轉換。
隔直流
直流電壓不隨時間變化,位移電流ε(∂E/∂t)為0,直流分量無法通過。
實際電容等效模型
實際電容的特性都是非理想的,有一些寄生效應;因此,需要用一個較為復雜的模型來表示實際電容,常用的等效模型如下:

● 由于介質都不是絕對絕緣的,都存在著一定的導電能力;因此,任何電容都存在著漏電流,以等效電阻Rleak表示;
● 電容器的導線、電極具有一定的電阻率,電介質存在一定的介電損耗;這些損耗統一以等效串聯電阻ESR表示;
● 電容器的導線存在著一定的電感,在高頻時影響較大,以等效串聯電感ESL表示;
● 另外,任何介質都存在著一定電滯現象,就是電容在快速放電后,突然斷開電壓,電容會恢復部分電荷量,以一個串聯RC電路表示。
大多數時候,主要關注電容的ESR和ESL。
品質因數(Quality Factor)
和電感一樣,可以定義電容的品質因數,也就是Q值,也就是電容的儲存功率與損耗功率的比:
Qc=(1/ωC)/ESR
Q值對高頻電容是比較重要的參數。
自諧振頻率(Self-Resonance Frequency)
由于ESL的存在,與C一起構成了一個諧振電路,其諧振頻率便是電容的自諧振頻率。在自諧振頻率前,電容的阻抗隨著頻率增加而變小;在自諧振頻率后,電容的阻抗隨著頻率增加而變小,就呈現感性;如下圖所示:

圖出自Taiyo Yuden的EMK042BJ332MC-W規格書
二、電容的工藝與結構
根據電容公式,電容量的大小除了與電容的尺寸有關,與電介質的介電常數(Permittivity)有關。電介質的性能影響著電容的性能,不同的介質適用于不同的制造工藝。
常用介質的性能對比,可以參考AVX的一篇技術文檔。
AVX Dielectric Comparison Chart
電容的制造工藝主要可以分為三大類:
● 薄膜電容(Film Capacitor)
● 電解電容(Electrolytic Capacitor)
● 陶瓷電容(Ceramic Capacitor)
2.1 薄膜電容(Film Capacitor)
Film Capacitor在國內通常翻譯為薄膜電容,但和Thin Film工藝是不一樣的。為了區分,個人認為直接翻譯為膜電容好點。
薄膜電容是通過將兩片帶有金屬電極的塑料膜卷繞成一個圓柱形,最后封裝成型;由于其介質通常是塑料材料,也稱為塑料薄膜電容;其內部結構大致如下圖所示:

原圖來自于維基百科
薄膜電容根據其電極的制作工藝,可以分為兩類:
金屬箔薄膜電容(Film/Foil)
金屬箔薄膜電容,直接在塑料膜上加一層薄金屬箔,通常是鋁箔,作為電極;這種工藝較為簡單,電極方便引出,可以應用于大電流場合。
金屬化薄膜電容(Metallized Film)
金屬化薄膜電容,通過真空沉積(Vacuum Deposited)工藝直接在塑料膜的表面形成一個很薄的金屬表面,作為電極;由于電極厚度很薄,可以繞制成更大容量的電容;但由于電極厚度薄,只適用于小電流場合。
金屬化薄膜電容就是具有自我修復的功能,即假如電容內部有擊穿損壞點,會在損壞處產生雪崩效應,氣化金屬在損壞處將形成一個氣化集合面,短路消失,損壞點被修復;因此,金屬化薄膜電容可靠性非常高,不存在短路失效;
薄膜電容有兩種卷繞方法:有感繞法在卷繞前,引線就已經和內部電極連在一起;無感繞法在繞制后,會采用鍍金等工藝,將兩個端面的內部電極連成一個面,這樣可以獲得較小的ESL,應該高頻性能較高;此外,還有一種疊層型的無感電容,結構與MLCC類似,性能較好,便于做成SMD封裝。

最早的薄膜電容的介質材料是用紙浸注在油或石蠟中,英國人D''斐茨杰拉德于1876年發明的;工作電壓很高。現在多用塑料材料,也就是高分子聚合物,根據其介質材料的不同,主要有以下幾種:

應用最多的薄膜電容是聚酯薄膜電容,比較便宜,由于其介電常數較高,尺寸可以做的較小;其次就是聚丙烯薄膜電容。其他材料還有聚四氟乙烯、聚苯乙烯、聚碳酸酯等等。
薄膜電容的特點就是可以做到大容量,高耐壓;但由于工藝原因,其尺寸很難做小,通常應用于強電電路,例如電力電子行業;基本上是長這個樣子:

截圖于High Power Capacitors For Power Electronics - AVX
2.2 電解電容(Electrolytic Capacitor)
電解電容是用金屬作為陽極(Anode),并在表面形成一層金屬氧化膜作為介質;然后濕式或固態的電解質和金屬作為陰極(Cathode)。電解電容大都是有極性的,如果陰極側的金屬,也有一層氧化膜,就是無極性的電解電容。
根據使用的金屬的不同,目前只要有三類電解電容:
鋁電解電容(Aluminum electrolytic capacitors)
鋁電解電容應該是使用最廣泛的電解電容,最便宜,其基本結構如下圖所示:

鋁電解電容的制作工藝大致有如下幾步:
● 首先,鋁箔會通過電蝕刻(Etching)的方式,形成一個非常粗糙的表面,這樣增大了電極的表面積,可以增大電容量;
● 再通過化學方法將陽極氧化,形成一個氧化層,作為介質;
● 然后,在陽極鋁箔和陰極鋁箔之間加一層電解紙作為隔離,壓合繞制;
● 最后,加注電解液,電解紙會吸收電解液,封裝成型。
使用電解液的濕式鋁電解電容應用最廣;優點就是電容量大、額定電壓高、便宜;缺點也很明顯,就是壽命較短、溫度特性不好、ESR和ESL較大。對于硬件開發來說,需要避免過設計,在滿足性能要求的情況下,便宜就是最大的優勢。
下圖是基美(Kemet)的鋁電解電容產品,大致可以看出鋁電解電容的特點。

鋁電解電容也有使用二氧化錳、導電高分子聚合物等固態材料做電解質;聚合物鋁電解電容的結構大致如下圖所示:

聚合物鋁電解電容的ESR較小,容值更穩定,瞬態響應好;由于是固態,抗沖擊振動能力比濕式的要好;可以做出較小的SMD封裝。當然,濕式的鋁電解電容也可以做SMD封裝,不過大都是長這樣:

而聚合物鋁電解電容的封裝長這樣:

鉭電解電容(Tantalum electrolytic capacitors)
鉭(拼音tǎn)電解電容應用最多的應該是利用二氧化錳做固態電解質,主要長這樣:

固態鉭電解電容內部結構大致如下圖所示:

原圖出自Vishay技術文檔
鉭電容與鋁電解電容比,在于鉭氧化物(五氧化二鉭)的介電常數比鋁氧化物(三氧化二鋁)的高不少,這樣相同的體積,鉭電容容量要比鋁電解電容的要大。鉭電容壽命較長,電性能更加穩定。
鉭電容也有利用導電高分子聚合物(Conductive Polymer)做電解質,結構與上圖二氧化錳鉭電容類似,就是將二氧化錳換成導電聚合物;導電聚合物的電導率比二氧化錳高,這樣ESR就會更低。
另外還有濕式的鉭電容,特點就是超大容量、高耐壓、低直流漏電流,主要用于軍事和航天領域。濕式的鉭電容主要長這樣:

截圖于Vishay技術文檔
鈮電解電容(Niobium electrolytic capacitors)
鈮電解電容與鉭電解電容類似,就是鈮及其氧化物代替鉭;鈮氧化物(五氧化二鈮)的介電常數比鉭氧化物(五氧化二鉭)更高;鈮電容的性能更加穩定,可靠性更高。
AVX有鈮電容系列產品,二氧化錳鉭電容外觀是黃色,而鈮電容外觀是橙紅色,大致長這樣:

電解電容對比表,數據來源于維基百科,僅供參考。

2.3 陶瓷電容(Ceramic Capacitor)
陶瓷電容是以陶瓷材料作為介質材料,陶瓷材料有很多種,介電常數、穩定性都有不同,適用于不同的場合。
陶瓷電容,主要有以下幾種:
瓷片電容(Ceramic Disc Capacitor)
瓷片電容的主要優點就是可以耐高壓,通常用作安規電容,可以耐250V交流電壓。其外觀和結構如下圖所示:

多層陶瓷電容(Multi-layer Ceramic Capacitor)
多層陶瓷電容,也就是MLCC,片狀(Chip)的多層陶瓷電容是目前世界上使用量最大的電容類型,其標準化封裝,尺寸小,適用于自動化高密度貼片生產。

作者,也就是我自己設計的主板,自己拍的照片,加了藝術效果;沒有標引用和出處的圖片和內容,絕大多數都是我自己畫或弄出來的,剩下一點點可能疏忽忘加了;標引用的圖片,很多都是我重新加工的,例如翻譯或幾張圖拼在一起等等,工具很土EXCEL+截圖。
多層陶瓷電容的內部結構如下圖所示:

原圖出自SMD MLCC for High Power Applications - KEMET
多層陶瓷電容生產流程如下圖所示:

由于多層陶瓷需要燒結瓷化,形成一體化結構,所以引線(Lead)封裝的多層陶瓷電容,也叫獨石(Monolithic)電容。
在談談電感 中也介紹過多層陶瓷工藝和Thin Film工藝。Thin Film技術在性能或工藝控制方面都比較先進,可以精確的控制器件的電性能和物理性能。因此,Thin Film電容性能比較好,最小容值可以做到0.05pF,而容差可以做到0.01pF;比通常MLCC要好很多,像Murata的GJM系列,最小容值是0.1pF,容差通常都是0.05pF;因此,Thin Film電容可以用于要求比較高的RF領域,AVX有Accu-P®系列。
陶瓷介質的分類
根據EIA-198-1F-2002,陶瓷介質主要分為四類:
● Class I:具有溫度補償特性的陶瓷介質,其介電常數大都較低,不超過200。通常都是順電性介質(Paraelectric),溫度、頻率以及偏置電壓下,介電常數比較穩定,變化較小。損耗也很低,耗散因數小于0.01。

性質最穩定,應用最多的是C0G電容,也就是NP0。NP0是IEC/EN 60384-1標準中規定的代號,即Negative Positive Zero,也就是用N和P來表示正負偏差。
由于介電常數低,C0G電容的容值較小,最大可以做到0.1uF,0402封裝通常最大只有1000pF。
● Class II,III:其中,溫度特性A-S屬于Class II,介電常數幾千左右。溫度特性T-V屬于Class III,介電常數最高可以到20000,可以看出Class III的性能更加不穩定。根據IEC的分類,Class II和III都屬于第二類,高介電常數介質。像X5R和X7R都是Class II電容,在電源去耦中應用較多,而Y5V屬于Class III電容,性能不太穩定,個人覺得現在應用不多了。

由于Class II和III電容的容值最高可以做到幾百uF,但由于高介電常數介質,大都是鐵電性介質(Ferroelectric),溫度穩定性差。此外,鐵電性介質,在直流偏置電壓下介電常數會下降。
在談談電感一文中,介紹了鐵磁性介質存在磁滯現象,當內部磁場超過一定值時,會發生磁飽和現象,導致磁導率下降;同樣的,對于鐵電性介質存在電滯現象,當內部電場超過一定值時,會發生電飽和現象,導致介電常數下降。
因此,當Class II和III電容的直流偏置電壓超過一定值時,電容會明顯下降,如下圖所示:

● Class IV:制作工藝和通常的陶瓷材料不一樣,內部陶瓷顆粒都是外面一層很薄的氧化層,而核心是導體。這種類型的電容容量很大,但擊穿電壓很小。由于此類電容的性能不穩定,損耗高,現在已經基本被淘汰了。
電容類型總結表

還有一類超級電容,就是容量特別大,可以替代電池作為供電設備,也可以和電池配合使用。超級電容充電速度快,可以完全地充放電,而且可以充到任何想要的電壓,只要不超過額定電壓。現在應用也比較多,國內很多城市都有超級電容電動公交車;還有些電子產品上也有應用,例如一些行車記錄儀上,可以持續供電幾天。
三、電容的應用與選型
器件選型,其實就是從器件的規格書上提取相關的信息,判斷是否滿足產品的設計和應用的要求。
3.1 概述
電容作為一個儲能元件,可以儲存能量。外部電源斷開后,電容也可能帶電。因此,安全提示十分必要。有些電子設備內部會貼個高壓危險,小時候拆過家里的黑白電視機,拆開后看到顯像管上貼了個高壓危險,那時就有個疑問,沒插電源也會有高壓嗎?工作后,拆過幾個電源適配器,被電的回味無窮……

回歸正題,電容儲能可以做如下應用:
● 儲存能量就可以當電源,例如超級電容;
● 存儲數據,應用非常廣。動態易失性存儲器(DRAM)就是利用集成的電容陣列存儲數據,電容充滿電就是1,放完電就是0。各種手機、電腦、服務器中內存的使用量非常大,因此,內存行業都可以作為信息產業的風向標了。
此外,電容還可以用作:
● 定時:電容充放電需要時間,可以用做定時器;還可以做延時電路,最常見的就是上電延時復位;一些定時芯片如NE556,可以產生三角波。
● 諧振源:與電感一起組成LC諧振電路,產生固定頻率的信號。
利用電容通高頻、阻低頻、隔直流的特性,電容還可以用作:
電源去耦
電源去耦應該是電容最廣泛的應用,各種CPU、SOC、ASIC的周圍、背面放置了大量的電容,目的就是保持供電電壓的穩定。
首先,在DCDC電路中,需要選擇合適的輸入電容和輸出電容來降低電壓紋波。需要計算出相關參數。

此外,像IC工作時,不同時刻需要的工作電流是不一樣的,因此,也需要大量的去耦電容,來保證工作電壓得穩定。
耦合隔直
設計電路時,有些情況下,只希望傳遞交流信號,不希望傳遞直流信號,這時候可以使用串聯電容來耦合信號。
例如多級放大器,為了防止直流偏置相互影響,靜態工作點計算復雜,通常級間使用電容耦合,這樣每一級靜態工作點可以獨立分析。
例如PCIE、SATA這樣的高速串行信號,通常也使用電容進行交流耦合。
旁路濾波
旁路,顧名思義就是將不需要的交流信號導入大地。濾波其實也是一個意思。在微波射頻電路中,各種濾波器的設計都需要使用電容。此外,像EMC設計,對于接口處的LED燈,都會在信號線上加一顆濾波電容,這樣可以提高ESD測試時的可靠性。
3.2 鋁電解電容
3.2.1 鋁電解電容(濕式)
鋁電解電容(濕式)無論是插件還是貼片封裝,高度都比較高,而且ESR都較高,不適合于放置于IC附近做電源去耦,通常都是用于電源電路的輸入和輸出電容。

容值
從規格書中獲取電容值容差,通常鋁電解電容的容差都是±20%。計算最大容值和最小容值時,各項參數要滿足設計要求。
額定電壓
鋁電解電容通常只適用于直流場合,設計工作電壓至少要低于額定電壓的80%。對于有浪涌防護的電路,其額定浪涌電壓要高于防護器件(通常是TVS)的殘壓。
例如,對于一些POE供電的設備,根據802.3at標準,工作電壓最高可達57V,那么選擇的TVS鉗位電壓有90多V,那么至少選擇額定電壓100V的鋁電解電容。此時,也只有鋁電解電容能同時滿足大容量的要求。

耗散因數
設計DCDC電路時,輸出電容的ESR影響輸出電壓紋波,因此需要知道鋁電解電容的ESR,但大多數鋁電解電容的規格書只給出了耗散因數tanδ。可以根據以下公式來計算ESR:
ESR = tanδ/(2πfC)
例如,120Hz時,tanδ為16%,而C為220uF,則ESR約為965mΩ。可見鋁電解電容的ESR非常大,這會導致輸出電壓紋波很大。因此,使用鋁電解電容時,需要配合使用片狀陶瓷電容,靠近DCDC芯片放置。
隨著開關頻率和溫度的升高,ESR會下降。
額定紋波電流
電容的紋波電流,要滿足DCDC設計的輸入和輸出電容的RMS電流的需求。鋁電解電容的額定紋波電流需要根據開關頻率來修正。

壽命
鋁電解電容的壽命比較短,選型需要注意。而壽命是和工作溫度直接相關的,規格書通常給出產品最高溫度時的壽命,例如105℃時,壽命為2000小時。
根據經驗規律,工作溫度每下降10℃,壽命乘以2。如果產品的設計使用壽命為3年,也就是26280小時。則10*log2(26280/2000)=37.3℃,那么設計工作溫度不能超過65℃。
3.2.2 聚合物鋁電解電容
像Intel的CPU這樣的大功耗器件,一顆芯片80多瓦的功耗,核電流幾十到上百安,同時主頻很高,高頻成分多。這時對去耦電容的要求就很高:
● 電容值要大,滿足大電流要求;
● 額定RMS電流要大,滿足大電流要求;
● ESR要小,滿足高頻去耦要求;
● 容值穩定性要好;
● 表面帖裝,高度不能太高,因為通常放置在CPU背面的BOTTOM層,以達到最好的去耦效果。
這時,選擇聚合物鋁電解電容最為合適。
此外,對于音頻電路,通常需要用到耦合、去耦電容,由于音頻的頻率很低,所以需要用大電容,此時聚合物鋁電解電容也很合適。
3.3 鉭電容
根據前文相關資料的來源,可以發現,鉭電容的主要廠商就是Kemet、AVX、Vishay。
鉭屬于比較稀有的金屬,因此,鉭電容會比其他類型的電容要貴一點。但是性能要比鋁電解電容要好,ESR更小,損耗更小,去耦效果更好,漏電流小。下圖是Kemet一款固態鉭電容的參數表:

額定電壓
固態鉭電容的工作電壓需要降額設計。正常情況工作電壓要低于額定電壓的50%;高溫環境或負載阻抗較低時,工作電壓要低于額定電壓的30%。具體降額要求應嚴格按照規格書要求。
此外,還需要注意鉭電容的承受反向電壓的情況,交流成分過大,可能會導致鉭電容承受反向電壓,導致鉭電容失效。
固態鉭電容的主要失效模式是短路失效,會直接導致電路無法工作,甚至起火等風險。因此,需要額外注意可靠性設計,降低失效率。
對于一旦失效,就會造成重大事故的產品,建議不要使用固態鉭電容。
額定紋波電流
紋波電流流過鉭電容,由于ESR存在會導致鉭電容溫升,加上環境溫度,不要超過鉭電容的額定溫度以及相關降額設計。
3.4 片狀多層陶瓷電容
片狀多層陶瓷電容應該是出貨量最大的電容,制造商也比較多,像三大日系TDK、muRata、Taiyo Yuden,美系像KEMET、AVX(已經被日本京瓷收購了)。
三大日系做的比較好的就是有相應的選型軟件,有電感、電容等所有系列的產品及相關參數曲線,非常全,不得不再次推薦一下:
3.4.1 Class I電容
Class I電容應用最多的是C0G電容,性能穩定,適用于諧振、匹配、濾波等高頻電路。
C0G電容的容值十分穩定,基本不隨外界條件(頻率除外)變化,下圖是Murata一款1000pF電容的直流、交流及溫度特性。

因此,通常只需要關注C0G電容的頻率特性。下圖是Murata的3款相同封裝(0402inch)相同容差(5%)的10pF電容的頻率特性對比。

其中GRM是普通系列,GJM是高Q值系列、GQM是高頻系列,可見GQM系列高頻性能更好,自諧振頻率和Q值更高,一些高頻性能要求很高的場合,可以選用容差1%的產品。而GRM系列比較便宜,更加通用,例如EMC濾波。
3.4.2 Class II和Class III電容
Class II和Class III電容都是高介電常數介質,性能不穩定,容值變化范圍大,通常用作電源去耦或者信號旁路。
以Murata一款22uF、6.3V、X5R電容為例,相關特性曲線:


容值
Class II和Class III電容,容值隨溫度、DC偏置以及AC偏置變化范圍較大。特別是用作電源去耦時,電容都有一定的直流偏置,電容量比標稱值小很多,所以要注意實際容值是否滿足設計要求。
紋波電流
作為DCDC的輸入和輸出電容,都會有一定的紋波電流,由于ESR的存在會導致一定的溫升。加上環境溫度,不能超過電容的額定溫度,例如X5R電容最高額度溫度是85℃。
通常由于多層陶瓷電容ESR較小,能承受的紋波電流較大。
自諧振頻率
電容由于ESL的存在,都有一個自諧振頻率。大容量的電容,自諧振頻率較低,只有1-2MHz。所以,為了提高電源的高頻效應,大量小容值的去耦電容是必須的。此外,對于開關頻率很高的DCDC芯片,要注意輸入輸出電容的自諧振頻率。
ESR
設計DCDC電路,需要知道輸出電容的ESR,來計算輸出電壓紋波。多層陶瓷電容的ESR通常較低,大約幾到幾十毫歐。
3.5 安規電容
對于我們家用的電子設備,最終都是220V交流市電供電。電源適配器為了減少對電網的干擾,通過相關EMC測試,都會加各種濾波電容。下圖為一個簡易的電路示意圖:

對于L和N之間的電容叫X電容,L、N與PE或GND之間的電容叫Y電容。由于220V交流電具有危險性,會威脅人的人身安全,電子產品都需要滿足相關安規標準,例如GB4943和UL60950的相關測試要求。因此,X 電容和Y電容與這些測試直接相關,所以也叫安規電容。
以抗電強度測試為例,根據標準,L、N側為一次電路,需要與PE或GND之間為基本絕緣。因此,需要在L或N對GND之間加交流1.5kV或者直流2.12kV的耐壓測試,持續近1分鐘,期間相關漏電流不能超過標準規定值。因此,安規電容,有相當高的耐壓要求,同時直流漏電流不能太大。
此外,常用的RJ45網口,為了減小EMI,常用到Bob-Smith電路,如下圖所示:

可以看到電容的耐壓都是2kV以上,因為網口通常有變壓器,220V交流電的L和N到網線有兩個變壓器隔離,是雙重絕緣,L和N到網線之間也要進行抗電強度測試。雙重絕緣,通常要求通過交流3kV或直流4.24kV測試。
因為,安規電容有高耐壓要求,通常使用瓷片電容或者小型薄膜電容。
此外,器件選型還要主要兩點要求:和結構確認器件的長寬高;對插件封裝器件不多時,是不是可以全部使用表貼器件,這樣可以省掉波峰焊的工序。
結語
本文大致介紹了幾類主要的電容的工藝結構,以及應用選型。水平有限,難免疏漏,歡迎指出。同時僅熟悉信息技術設備,對電力電子、軍工等其他行業不了解,所以還有一些其他的電容相關應用無法介紹。
來源:zhihu
推薦閱讀:



